您现在的位置是:首页 > 变频技术 > 变频技术
变频器输出电抗器选件条件
来源:艾特贸易2017-06-05
简介变频器的输出是经 PWM 调制的电压波,调制波形如图 2-11 所示,由于电动机绕组的电感性质能使电流连续,因此电流基本上是正弦形的,脉冲宽度调制 ( PWM) 有着陡峭的电压上升和下降的
变频器的输出是经PWM调制的电压波,调制波形如图2-11所示,由于电动机绕组的电感性质能使电流连续,因此电流基本上是正弦形的,脉冲宽度调制( PWM)有着陡峭的电压上升和下降的前后沿,即du/dt很大,使得输出引线向外发射含量极大的电磁干扰,并且在引出线对地、电动机绕组匝间、绕组对地间都产生很大的脉冲电流。

图2-11 调制波形
为了减轻变频器输出du/dt对外界的干扰,降低输出波形畸变,达到环保标准,减少对电动机绕组的电压冲击造成绝缘损坏,降低电动机的温升和噪声,避免在变频器输出功率管上因du/dt和流过过大的脉冲冲击电流使功率管损坏,以及降低负载短路造成对变频器的损伤,有必要在变频器输出端增设交流电抗器。
值得指出的是脉冲电压通过较长的输电线时,由于长线上波的反射叠加使得在长线(即变频器输出导线)超过临界长度后,电压有可能达到直流母线(变频器内直流母线)电压的2倍。因此,变频器输出线长度受到了限制,为解除这种限制,必须接入输出侧交流电抗器。接入后,送到电动机等负载上的波形接近正弦电压波形。
当变频器和电动机之间的接线超长时,随着变频器输出电缆的长度增加,其分布电容明显增大,从而造成变频器逆变输出的容性尖峰电流过大引起变频器保护动作,因此必须使用输出电抗器或du/dt滤波器或正弦波滤波器等装置对这种容性尖峰电流进行限制。
输出滤波电抗器用于补偿在电动机电缆长距离敷设时引起的电路电容充电电流,也可抑制谐波。在多电动机传动时,可接入一台输出滤波电抗器,总电缆长度是每台电动机电缆长度的总和。从理论上说,功率等级不同的变频器所允许敷设的电动机电缆长度是不同的,并且不同生产厂商的变频器所允许敷设的电动机电缆长度也是不同的。因此,变频器至电动机电缆在超过多长距离时应加装输出滤波电抗器,还应参阅各变频器生产厂商提供的使用手册。
输出电抗器串联在变频器输出侧(U、V、W)和电动机之间,限制电动机连接电缆的容性充电电流和电动机绕组的电压上升率,减小变频器功率元件动作时产生的干扰和冲击:在变频器与负载电动机之间连接电缆超过50m时应配置输出电抗器。在变频器的输出侧使用交流电抗器可平滑滤波,减少瞬变电压du/dt的影响,并可得到以下的改善:
1)降低了电动机的噪声。
2)降低了输出谐波造成的漏电流。
3)减少了电磁干扰。
4)保护了变频器内部的功率开关器件。
5)延长了电动机的绝缘寿命。
输出电抗器有助于改善变频器的过电流和过电压,变频器和电动机之间采用长电缆或向多电动机供电时,由于变频器工作频率高,连接电缆的等效电路成为一个大电容,从而引起下列问题:
1)电缆对地电容给变频器额外增加了峰值电流。
2)由于高频瞬变电压,给电动机绝缘额外增加了瞬态电压峰值。
输入电抗器LA1、输出电抗器LA2和直流电抗器LDC在变频调速系统中的连接如图2-12所示。输出电抗器的主要作用是补偿长线分布电容的影响,并能抑制变频器输出的谐波,起到减小变频器噪声的作用。有些变频器产品使用说明书中提供了有输出电抗器与无输出电抗器时,连接电动机的导线允许的最大长度。表2-4提供了输出滤波电抗器与允许导线长度的数据。

图2-12 三种电抗器在变频调速系统中的连接
表2-4 输出滤波电抗器与允许导线长度的数据

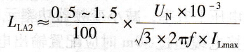
在实际使用中,只要负载是电感性的,电抗器采用1%阻抗或更低一些都是可行的,因为PWM调制频率远高于基波频率,因此输出侧交流电抗器电感量可按下式计算:
(2-34)
例如:380V、90kW、50Hz、170A变频器的输出侧交流电抗器的计算如下:

选择电感值在0. 041mH左右,工作电流为170A的电抗器即可。输出侧交流电抗器绕制在磁心上的导线头尾的位置,关系到电感向外发射干扰能量的程度,变频器输出侧交流电抗器断面结构如图2-13所示,绕组头1在里层,尾2在外层,因此1接变频器的输出,2接负载电动机较好,这样,变频器输出端的强干扰被外层屏蔽,减少了干扰向外发射。

图2-13 输出侧交流电抗器断面结构
输出侧交流电抗器的抑制频率若在较高频率范围,应使用铁氧体磁心,以减少损耗,但体积较大。在变频器与负载之间若设有变压器,变压器输入绕组的漏抗和变压器损耗大大削弱了调制波,起到了输出侧电抗器的作用,因此可以省略输出侧交流电抗器。
