您现在的位置是:首页 > 变频技术 > 变频技术
连续恒负载运转时所需的变频器容量的计算
来源:艾特贸易2017-06-05
简介由于变频器传输给电机的是脉冲电流,其脉动值比工频供电时电流要大,因此,须将变频器的容量留有适当的余量。此时,变频器应同时满足以下三个条件。 (4-1) (4-2) (4-3) 式中 PM- 负载
由于变频器传输给电机的是脉冲电流,其脉动值比工频供电时电流要大,因此,须将变频器的容量留有适当的余量。此时,变频器应同时满足以下三个条件。
(4-1)
(4-2)
(4-3)
式中PM-负载所要求的电机的轴输出功率(kW);
η-电机的效率(通常约为0.85);
cosΦ-电机的功率因数(通常约为0.75);
UM-电机电压(V);
IM-电机工频电源时的电流(A);
k-电流波形的修正系数(PWM方式时取1.05~1.10);
PCN-变频器的额定容量(kVA);
ICN-变频器的额定电流(A)。
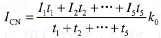
电机频繁加、减速运行时,变频器额定电流的选择如下。
(4-4)
式中I1、I2…I5-各运行状态下的平均电流(A);
t1、t2…t5-各运行状态下的时间(s);
ko-安全系数(运行频繁时为1.2,其他时为1.1)。
电机运行时的特性曲线如图4-2所示。

图4-2 电机运行时的特性曲线
