您现在的位置是:首页 > 变频技术 > 变频技术
变频器的变频与变压
来源:艾特贸易2017-06-05
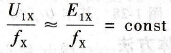
简介保持磁通不变的途径: (1) 准确方法。由式 (1-7) 知,如能保持 (1-20) 则磁通Φ 1 可以保持不变。所以,使反电动势和频率之比等于常数便是保持磁通不变的准确方法(见图 1-27 )。 图
保持磁通不变的途径:
(1)准确方法。由式(1-7)知,如能保持
(1-20)
则磁通Φ1可以保持不变。所以,使反电动势和频率之比等于常数便是保持磁通不变的准确方法(见图1-27)。

图1-27 保持磁通不变的方法
但反电动势E1X是定子绕组切割定子电流自身的磁通而产生的,无法从外部控制其大小,故在实际工作中,式(1-20)所表达的条件将难以实现。
(2)替代方法。在式(1-8)中,定子绕组的阻抗压降△U所占比例较小,因此,用比较容易从外部进行控制的外加电压U1X来近似地代替反电动势E1X是具有现实意义的。即:
(1-21)
式中,U1X-当频率为fx时的外加电压,V。
如图1-26所示。所以,变频的同时也必须变压,目的是为了保持磁通基本不变:

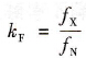
(3)调频比与调压比。设当频率下降为fx时,电压下降为Ux,则:
(1-22)
称为频率调节比,或简称调频比。
(1-23)
称为电压调节比,或简称调压比。
式中,UX-与频率fx对应的电压,V;
fN-额定频率,Hz;
UN-额定电压,V;
kF-频率调节比;
kU-电压调节比。
当kU=kF时,电压与频率成正比,其UX=f(fx)曲线将通过原点,如图1-28所示,称为基本U/f线。图中,与变频器的最大输出电压对应的频率,称为基本频率,用fBA表示。

图1-28 基本U/f线
