您现在的位置是:首页 > 变频技术 > 变频技术
电动机变频后的磁通
来源:艾特贸易2017-06-05
简介1 .带负载能力下降的原因 在艾特贸易网前面文章中讲过,变频调速时,为了保持电动机的主磁通不变,变频器的输出电压与频率之比必须等于常数( ku=kf )。而实际上,保持磁通不变
1.带负载能力下降的原因
在艾特贸易网前面文章中讲过,变频调速时,为了保持电动机的主磁通不变,变频器的输出电压与频率之比必须等于常数(ku=kf)。而实际上,保持磁通不变的准确方法,是保持反电动势和频率之比不变:

图2-3 fx≤fN时的机械特性
(2-3)
保持变频器的输出电压与频率之比等于常数(ku=kf)是一种近似的替代方法,而近似替代的结果便导致了低频运行时,带负载能力的下降。
2.数字举例
某电动机的主要数据:45kW、50Hz、380V(相电压)、85A(相电流)、1480r/min。满载时的阻抗压降设为30V。为简略起见,在下面的计算中,电路中各量之间的复数关系近似地用代数关系来代替,如图2-4所示。
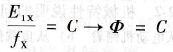
(1)电动机的工作频率为50Hz。满载时定子绕组每相的反电动势
E1N=U1N -△UN=380V - 30V=350V
反电动势与频率之比

显然,这时的磁通应该等于额定磁通,由于难以得到公式中比例常数的数据,故磁通大小用相对值表示,额定磁通的相对值为100%,即
ΦN* = 100%

图2-4 低频时临界转矩减小的原因
a)额定频率时的磁通b)频率下降时的磁通
如图2-4a所示。
(2)电动机的工作频率为fx=10Hz(kf=0.2)
每相绕组的电压
因为 ku=kf=0.2
所以 U1X=kuUIN=0.2×380V=76V
在满载运行的情况下,每相绕组的阻抗压降不变,仍为
△UN=30V
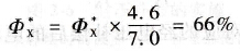
定子绕组每相的反电动势
E1X=U1X -△UN=76V - 30V=46V
反电动势与频率之比

磁通的相对值

显然,这时的磁通与额定磁通相比,减小了34%,电动机的带负载能力必将减小。就是说,在(ku=kf)的条件下,低频时,实际上并不能保持磁通不变。
