您现在的位置是:首页 > 变频技术 > 变频技术
变频器在水电站门式起重机中的应用
来源:艾特贸易2017-06-05
简介水电站门式起重机(简称门机),在水电工程上统称为闸门启闭机,分为坝顶门机与尾水门机两种。坝顶门机担负着底孔工作闸门、底孔事故检修闸门、深孔事故闸门、工业取水口闸门
水电站门式起重机(简称门机),在水电工程上统称为闸门启闭机,分为坝顶门机与尾水门机两种。坝顶门机担负着底孔工作闸门、底孔事故检修闸门、深孔事故闸门、工业取水口闸门和拦污栅的起吊工作。尾水门机主要用于起吊水轮机尾水口的闸门。
主起升机构是坝顶门式起重机的核心部分,它性能的好坏直接影响着各个闸门准确平稳的开启与闭合,对水电站的安全运行和河流的防汛泄洪都起着重要的作用。
传统的门机主起升机构采用绕线转子电动机串电阻启动、制动,这种系统无法实现低速长期运行,既无法准确停车,又无法实现自动抓梁与闸门的快速、准确连接,空钩时不能升速运行。为了解决这些问题,在门机起升机构上采用变频调速控制系统。
1.变频器及制动单元的选择
(1)变频器的选择。起升机构平均启动转矩通常为额定转矩值的1.3~1.6倍,考虑到电源电压波动及需要通过125%超载试验要求等因素,其最大转矩必须是负载转矩的1.8~ 2.0倍,以确保安全使用。
由于各厂家生产的变频器过载能力各不相同,且在高原地区还应考虑海拔高度对电动机及变频器的影响,变频器容量应按下式进行计算
(10-4)
式中 η-电动机效率;
Gt-总起升质量,t;
nN-额定起升速度,m/min;
cosφ-电动机的功率因数;
PCN-变频器容量,kVA;
ηm-机械效率;
Ps-起升机构所需的净功率;
k2-变频器过载系数。
在变频器功率确定的基础上,还必须做电流验证
(10-5)
式中 ICN-变频器额定输出电流,A;
IM-电动机额定电流,A;
k1-裕量系数,k1=1.1。
如果按所用电动机功率选择变频器,则可能由于电动机容量过剩而造成变频器容量过剩,因而造成不必要的浪费。实验证明,按上述公式选择的变频器,经过100%、125%的负载试验,完全可以满足起升机构的要求。
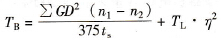
(2)制动单元及制动电阻的选择。惯性系统在减速或起升机构下降时,电动机转速高于变频器输出频率所对应的同步转速,这时电动机处于发电反馈运行状态,变频器直流回路的电容因充电而使电压升高。当电压超过一定值,通过制动单元接通制动电阻,将过剩的电能转化为热能消耗到制动电阻上。
起重机械在做下降运动时,位能负载将拖动电动机反转,这时,传动机构参与制动。制动时的最大制动转矩
(10-6)
最大制动功率
(10-7)
式中 ∑GD²-拖动系统的飞轮力矩之和(包括负载、电动机等),N·m²;
ts-制动时间,s;
TL-负载转矩,N·m;
n1-起始速度,r/min;
n2-制动后的速度,r/min。
制动电阻按下式计算
R=U2/PB (10-8)
式中 U-直流回路的电压。
