您现在的位置是:首页 > 变频技术 > 变频技术
采用了变频器后功率因数究竟是高还是低
来源:艾特贸易2017-06-05
简介变频器输入侧的功率因数是较低的,但并不是由于 cos φ的原因。说明如下: 1 .变频器输入电流波形如前述,“交 - 直 - 交、电压型”变频器的输入侧是整流和滤波电路。显然,只有当
变频器输入侧的功率因数是较低的,但并不是由于cosφ的原因。说明如下:
1.变频器输入电流波形如前述,“交-直-交、电压型”变频器的输入侧是整流和滤波电路。显然,只有当电源线电压的瞬时值uL大于电容器两端的直流电压UD时,整流桥中才有充电电流。因此,充电电流总是出现在电源电压的振幅值附近,呈不连续的脉冲形状,如图1-29a、b和c所示。它具有很强的高次谐波成分。有关资料表明,输入电流中的5次谐波和7次谐波分量是很大的,其谐波分析如图1-26d所示。

图1-29 输入电流的波形及其谐波分析
a)电路 b)电压波c)电流波d)谐波分析
2.功率因数的定义与分析
(1)功率因数的定义。电路所消耗的平均功率和视在功率之比称为功率因数:
λ=P/S (1-17)
式中 λ=功率因数;
P-平均功率,kW;
S-视在功率,kVA。
功率因数小于1的根本原因,是出现了无功功率的缘故。
(2)电流与电压频率相同时的平均功率。当电流和电压的频率相同时,功率因数的大小取决于电流与电压之间的相位关系。
如图1-30a,假设电流比电压滞后φ角:
φ=2πft=ωt (1-18)
式中 φ-功率因数角,即电流比电压滞后的电角度;
f-电流的频率,Hz;
t-时间,s;
ω-角频率。
功率的瞬时值p等于电压u和电流i瞬时值的乘积:
p=ui (1-19)
由图知:
在0~t1段:u为“+”,i为“-”。所以,p为“-”值;
在t1~t2段:u和i都为“+”。所以,p为“+”值。
下半周也一样。
可见,平均功率被滞后时段内的负功率抵消掉一部分。正、负抵消的功率称为无功功率。滞后角越大,无功功率也越大,平均功率越小。
滞后角的余弦cosφ称为位移因数。
(3)高次谐波电流的平均功率。以5次谐波电流为例,它所消耗的功率瞬时值的大小等于5次谐波电流瞬时值和电压瞬时值的乘积:
p5=ui5
式中 p5-5次谐波电流的功率瞬时值,kW;
i5-5次谐波电流的瞬时值,A。
由上式算得的功率曲线如图1-30b所示。由图知,瞬时功率的一部分为“+”,另一部分为“-”。可以证明,在一个周期内,正功率的总和与负功率的总和正好相等,平均功率等于0。

图1-30 电路消耗的瞬时功率
a)电流滞后的特点b)谐波电流的特点
所以,所有高次谐波电流的平均功率都等于0,都是无功功率。
非正弦电流中,高次谐波电流所占的比例,称为畸变因数,等于电流基波分量的有效值与总有效值之比:
(1-20)
式中 v-畸变因数;
I1-电流基波分量的有效值,A;
I5、I7、…-分别是5次谐波电流、7次谐波电流、…的有
效值,A。
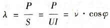
(4)完整的功率因数定义
(2-21)
式中 λ-功率因数;
cosφ-位移因数。
3.变频器输入侧的功率因数 变频器中,输入电流的基波分量基本上与电压同相,故cosφ≈1;但电流的畸变因数较低。所以,变频调速系统的功率因数较低,约为0.7~0.75。
因此,用功率因数表来测量变频器输入侧的功率因数是不正确的。因为,功率因数表是根据电动式偶衡表的原理制作的,其偏转角与同频率电压和电流间的相位差有关。但对于高次谐波电流,则由于它在一个周期内所产生的电磁力将互相抵消,对指针的偏转角不起作用。所以,功率因数表的读数将反映不了畸变因数的问题。
