您现在的位置是:首页 > 变频技术 > 变频技术
怎样决定制动电阻的阻值
来源:艾特贸易2017-06-05
简介准确计算制动电阻的方法是比较麻烦的,必要性也不大。这里介绍的是根据各说明书提供的数据统计而得的粗略算法。 1 .粗略算法。当通过制动电阻的电流等于电动机额定电流的 50
准确计算制动电阻的方法是比较麻烦的,必要性也不大。这里介绍的是根据各说明书提供的数据统计而得的粗略算法。
1.粗略算法。当通过制动电阻的电流等于电动机额定电流的50%时,所得到的制动转矩约等于电动机的额定转矩,用公式表达如下:
如
(2-2)
TB≈TMN
式中 IB-通过制动电阻的电流,A;
UDH-直流电压的上限值,V;
RB-制动电阻的阻值,Ω;
IMN-电动机的额定电流,A。
TB-制动转矩,N·m;
TMN-电动机的额定转矩,N·m。
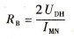
在满足TR≈TMN的情况下,制动电阻可计算如下:
(2-3)
2.制动电阻的取值范围。各变频器生产厂家为了减少制动电阻的阻值档次,常常对若干种不同容量的电动机提供阻值相同的制动电阻。因此,在制动过程中所得到的制动转矩的差异是较大的。统计结果表明:
(1)制动转矩的估算及取值范围。如上述,制动转矩可估算如下
(2-4)
通常取 TB=(0.8~2.0)TMN
(2)制动电阻的取值范围
(2-5)
可以看出,制动电阻的大小,是允许在一定范围内变动的。
