您现在的位置是:首页 > 变频技术 > 变频技术
怎样把旋转着的转子电路等效成静止的三相电路
来源:艾特贸易2017-06-05
简介1 .转子电路的等效过程如图 9-17 所示: (1) 把转子的笼条用旋转着的多相电路来表示,如图 a 和图 b 所示。在图 b 中: 图 9-17 转子等效电路的作出 E2- 每相绕编(笼条)的感应电动势;
1.转子电路的等效过程如图9-17所示:
(1)把转子的笼条用旋转着的多相电路来表示,如图a和图b所示。在图b中:

图9-17 转子等效电路的作出
E2-每相绕编(笼条)的感应电动势;
r2-每相绕组的电阻;
X2-每相绕组的漏磁电抗;
I2-每相电流。
(2)用旋转着的等效三相电路来代替旋转的多相电路,如图。所示。等效的原则是:等效前后,转子的功率不变。
(3)把旋转着的三相电路。又等效成静止的三相电路,如图d所示。图中,各参数都缀以“′”,说明它是等效值,而不是实际值。等效的原则仍然是:等效前后,转子的功率不变。这里,一个十分重要的问题,是如何在静止电路中,反映电动机轴上旋转着的机械功率。
a)转子截面b)转子等效电路c)变换成三相电路
d)变换成静止的三相电路e)转子轴输出机械能
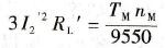
2.负载电阻的含义。图d与图c相比,每相都增加了一个等效的负载电阻RL′。它便是电动机输出的机械功率在静止电路中的反映。因此,在RL′上所消耗的电功率,应等于轴上的机械功率:
(9-16)
式中 I2′-转子每相等效绕组中的电流,A;
RL′-机械负载在转子每相等效绕组中的等效电阻,Ω;
TM-电动机的电磁转矩,N·m;
nM-电动机的转速,r/min。
3.转子的一相等效电路。和定子相仿,转子的三相等效电路也是对称的。所以,在分析时可以只拿一相来进行观察。转子的一相等效电路如图9-18所示。

图9-18 转子的一相等效电路
图中 E2′-转子每相等效绕组的感应电动势;
r2′-转子每相等效绕组的电阻,Ω;
X2′-转子每相等效绕组的漏磁电抗,Ω;
U2′-转子每相等效绕组中,机械负载等效电阻两端的
电压,相当于转子绕组输出侧的端电压,V。
4.转子的电动势平衡方程。在转子电路中,电动势E2′是从定子侧输入的功率通过磁通传递给转子,在转子中转换成电能的标志。在转子电路中,它相当于电源电动势;电流I2′是电能作功的标志;电能在作功过程中除了要克服转子绕组自身的电阻和漏磁电抗外,更主要的是,要克服负载阻转矩的等效电阻RL′。
借助等效电路,可以得到转子每相绕组的电动势平衡方程:
(9-17)
转子等效电路中的所有物理量的符号旁,都缀以“′”。等效电路中的物理量和实际电路中物理量之间的换算关系,称为折算。因此,所有缀以“′”的物理量,都是“折算值”。
因为电动机输出的是机械功率,而负载转矩与转速的大小在运行过程中是有可能经常变化的。所以,RL′是一个可变等效电阻,其大小应能随负载的变化而变化。
