您现在的位置是:首页 > 变频技术 > 变频技术
定子的等效电路是怎样得出的
来源:艾特贸易2017-06-05
简介1 .概述。异步电动机的定子主要由铁心和三相绕组所组成,因此属于三相电感电路。根据电工基础的知识:在电感电路中,电流的大小取决于电源电压和自感电动势之问的平衡关系。
1.概述。异步电动机的定子主要由铁心和三相绕组所组成,因此属于三相电感电路。根据电工基础的知识:在电感电路中,电流的大小取决于电源电压和自感电动势之问的平衡关系。而在电动机的定子绕组中,自感电动势有以下两个特点:
(1)其表现形式由定子绕组切割自己的旋转磁场而产生。但就本质而言,仍然是自身磁通变化的结果;
(2)如上述,在电动机里,定子磁通被分成为主磁通和漏磁通两个部分,它们在传递能量方面的作用不同,所以,在等效电路里的处理方法也不一样。
2.主磁通的自感电动势。因为定子电路由对称的三相绕组构成,所以,在分析时可以只拿一相来进行观察。
(1)自感电动势的大小。所有交变磁通都会在绕组中产生自感电动势,电动机的定子绕组切割了自己产生的主磁通而感应的自感电动势,是定子电路中和电源电压相抗衡的主要成分。或者说,电源电压主要是克服了自感电动势而作功的,因而常称为反电动势。其大小决定于:
(9-6)
式中 Φ1-主磁通的瞬时值,Wb;
dΦ1/dt-主磁通的变化率;
e1-定子反电动势的瞬时值,V;
L1-主磁通引起的自感系数,mH;
di1/dt-定子电流的变化率,A/s。
由式(9-6)可以推导出反电动势的有效值如下:
E1=4.44KEf1N1Φ1 (9-7)
式中 E1-反电动势的有效值,V;
KE-比例常数;
f1-定子电流的频率,Hz;
N1-每相定子绕组的匝数。
式(9-7)的物理意义如图9-14所示:

图9-14 式(1-7)的物理意义
a)一般情况b)频率高。)振幅大
比较图a和图b知:频率f1增大,则磁通Φ1的变化率也增大,反电动势e1的振幅值和有效值随之增大;
比较a和图c知:在频率相等的情况下,磁通Φ1的振幅增大,其变化率必增大,反电动势e1的振幅值和有效值也随之增大。
(2)反电动势的意义。式(9-7)还表明:在频率f1一定的情况下,反电动势的有效值E1和主磁通Φ1成正比。因此,反电动势的大小直接反应了主磁通的大小,也反应了向转子传递能量的大小。
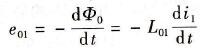
3.漏磁通的自感电动势。定子绕组切割漏磁通所产生的自感电动势,由下式决定:
(9-8)
式中 Φ0-漏磁通的瞬时值,Wb;
e01-定子漏磁电动势的瞬时值,V;
L01-定子漏磁通引起的自感系数,mH。
定子漏磁电动势e01的有效值在数值上等于:
E01=I1X1 (9-9)
式中 E01-定子漏磁电动势的有效值,V;
I1-定子的相电流,A;
X1-定子绕组的漏磁电抗,Ω。其大小决定于:
X1= 2πf1L01 (9-10)
就是说,漏磁通引起的自感电动势通常是以漏磁电抗的方式来表达的。
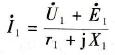
4.定子等效电路与电动势平衡方程
(1)定子等效电路。综合上述,可以作出一相定子绕组的等效电路,如图9-15所示。

图9-15 定子绕组的等效电路
图中 U1-电源的相电压,V;
r1-定子每相绕组的电阻,Ω;
X1-定子每相绕组的漏磁电抗,Ω;
E1-定子每相绕组的反电动势,V。
(2)电动势平衡方程。在定子电路中,电压U1是从电源输入电能的标志;电流I1是电能作功的标志;电能在作功过程中要克服的主要反作用是反电动势E1。借助等效电路,可以得到定子每相绕组的电动势平衡方程:
(9-11)
式中,电压、电动势和电流都用复数,说明它们之间并非代数加减的关系。
由式(9-11)知,定子电流可计算如下:
(9-12)
