您现在的位置是:首页 > 变频技术 > 变频技术
无速度传感器矢量控制
来源:艾特贸易2017-06-05
简介凡是高性能的交流调速系统,无论是矢量控制系统,还是直接转矩控制系统或其他系统,都需要转速调节和转速反馈,因而需要能提供转速检测信号的速度传感器。例如,提供模拟转速
凡是高性能的交流调速系统,无论是矢量控制系统,还是直接转矩控制系统或其他系统,都需要转速调节和转速反馈,因而需要能提供转速检测信号的速度传感器。例如,提供模拟转速信号的测速发电机,提供数字转速信号的光电和磁性编码器等。然而在电动机轴上安装速度传感器都有需保证同心度等问题,保证不好将影响测速的精度,在温差较大、湿度较高等恶劣环境下甚至无法工作;高精度的码盘价格昂贵,将显著增加中、小容量系统硬件的投资。因此,如果能够舍去速度传感器而仍旧保持良好的控制性能,将是一件非常有意义的事情。在20世纪70~80年代间,很多学者和工程技术人员在这方面倾注了大量心血,取得不少成就,发表了许多关于无速度传感器高性能交流调速系统的研究和综述的文章,内容十分丰富。其后,多种系列的无速度传感器高性能通用变频器产品问世,并获得成熟的应用。
1.有速度传感器矢量控制变频器的优点和存在的问题
无可置疑,有速度传感器矢量控制变频器具有很高的静、动态性能。以日本安川电机公司VS616-G5变频器为例(Pe=0. 4kW,Ue=220V),规定调速范围如下:
有速度传感器:1:1000
无速度传感器:1:100
前者的凋速范围是后者的10倍,其原因是,后者因缺少准确的转速反馈信号,矢量控制不能正确的运行。因无速度传感器矢量控制的转速反馈信号不是由速度传感器提供,而是由电压、电流传感器经数字运算后产生,其准确度比较低。而速度传感器矢量控制性能虽好,但也存在如下两个缺点。
①有速度传感器目前多采用数字式的数码盘,其中的电子回路置于电动机附近将受温升影响产生信号误差。其次,在电动机轴端安装旋转部件可能会遇到安装位置不合适或受到机械冲击的问题,使传感器可靠性降低。
②有速度传感器安装配线受环境影响使输出信号不可靠。因为,变频器置于电气柜(主电室)内,与电动机有一段距离,有速度传感器信号的耐噪声性能差,需额外采取措施以提高信号配线的抗干扰性,这就增加了设备安装成本。
故只有调速范围特别宽,容量较大且需高转矩、高性能的控制系统才选用有速度传感器的矢量控制。对于一般的工业设备可以降低要求,选用无速度传感器矢量控制,用速度推算的办法取得转速反馈信号。这时,变频器的性能虽有所下降,但性价比却相对更合理。
2.无速度传感器矢量控制的速度推算原理
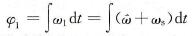
所谓速度推算就是利用速度以外的信息,例如,异步电动机的端电压、电流和电动机的其他常数,再通过直接或间接的方法计算转速。把电动机的实际速度记为ω,把经过计算的速度称为推算速度记为
,电动机旋转磁场的速度记为ω1,ω1和
之间的差称为转差ωs,则
ωs=ω1-
把旋转磁场的磁通相位角定义为φ1
则
(3-6)
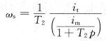
因此,通过端电压、电流计算出φ1或是通过电动机参数计算出ωs均可推算出
。设矢量控制时电动机的力矩电流为it,励磁电流为im(it和im的计算公式略),则
(3-7)
=ω1+ωs (3-8)
不同的厂家,推算
有不同的计算、控制方案。本文只介绍检测磁通角的方案供参考。
3.典型无速度传感器控制系统简介
本节引用一个实际应用的系统作进一步说明。该系统已成功用于165kW电压型PWM逆变器的矢量控制,其调速范围为1:20,调速精度为-5%~+5%。系统的结构框图如图3-15所示。框图中的“ωs运算”、“速度运算”、“矢量控制运算”环节在运算过程中均需要已知电动机的参数,如电阻、电感、互感等。由于这些参数在运行中会因电动机发热而改变,因此将最终影响无速度传感器控制变频器的调速范围和调速精度。综合起来,无速度传感器控制系统与有速度传感器控制系统相比有如下不足。

图3-15 无速度传感器矢量控制系统结构框图
(1)定子电阻变动的影响
通过检测电压进行速度推算,低速时由于定子电阻变动将引起检测误差。其结果是造成电动机欠励磁或过励磁,使调速范围和力矩的控制精度下降。
(2)转子电阻变动的影响
转子电阻变化,使转差频率的实际值与目标值不一致,则速度推算值必然产生误差。实际速度将向电动机力矩和负荷力矩平衡的新工作点移动并稳定下来。一般来说,该速度误差与转子电阻的温度成一定的比例关系。例如,转子材料为铜,当温度变化±50℃时,转差的变动高达40%。一般当额定转差为2%时,考虑转子电阻变化,需补偿转差约±0.8%。克服上述缺点的办法是采用参数自适应控制系统。在运行中,虽然参数受环境影响而改变,但保证矢量控制正常运行的各种计算值,如磁通(及其相位)、推算速度、转子时间常数等维持不变。这类系统迄今仍处于研制阶段,尚未投放市场。目前,新型无速度传感器矢量控制变频器多增设离线参数自检环节,即变频器投入运行初期,先检测一次电动机各种参数,以保证按矢量控制运行,但运行一段时间,参数发生变化,变频器就不能自动进行参数调整。
