您现在的位置是:首页 > 变频技术 > 变频技术
泵的特性和对调速的要求
来源:艾特贸易2017-06-05
简介众所周知,泵的负荷特性中,速度和转矩是平方关系,速度和功率是立方关系。此外,转矩随速度的变化属于减转矩特性。其基本关系式为 Q ∝ n , H ∝ n² , P ∝ n³ ( 8-1 ) 式中,
众所周知,泵的负荷特性中,速度和转矩是平方关系,速度和功率是立方关系。此外,转矩随速度的变化属于减转矩特性。其基本关系式为
Q∝n,H∝n²,P∝n³ (8-1)
式中,Q为流量;H为扬程;P为轴上功率,n为电动机转速。
要注意的是,实际扬程H随安装的管路结构不同,其计算公式各异。图8-1给出了标准泵的安装结构图,其全扬程由两部分组成,即与吸入侧和流出侧水位差对应的实际扬程以及管道摩擦损耗产生的损耗扬程,即
H=Ha+H1 (8-2)
式中,H为全扬程(m);Ha为实际扬程(m);H1为损耗扬程(m)。
对泵进行凋速必须掌握其主要工作特性,即扬程流量特性( -Q),如图8-2 (a)所示。

图8-1 泵系统的模型
从图来看,若采用调节阀门的恒速运行时工作点在C点(此时Q为50%标称值),而当采用调速方案后,工作点移至E点。式(8-3)给出了根据Q、H值计算轴上功率的公式,即
(8-3)
式中,P为轴上功率(kW);Q为流量(m³/min);H为全扬程(m);ηp为泵效率。
与恒转速驱动相比,变频器有如下优点。
①随着负荷降低,电动机轴上功率减小。
②可设定损耗最小的工作点。


图8-2 H-Q特性曲线及输出流量和流量恒定控制示意图
③容易调节压力、流量。
④可与上位计算机相连,构成自动化系统。
⑤可以频繁地进行起动。
下面给出工作点设定的例子,并把调节阀门的恒速驱动与变频调速作比较。图8-3所示为泵性能曲线,设流量从4 m³/min降至2m³/min,两种方式的节能效果比较如下。

图8-3 泵的性能曲线
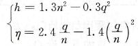
首先,由H-Q曲线给出两个经验公式如式(8-4)所示,以供计算H、Q之用。
(8-4)
式中,h、q分别为用标称值表示的扬程、流量;η为泵效率。
即

式中,H0、Q0、Ne分别为额定工作点的数据。
例如,本例的额定流量为Q0=5m³/min。
从泵的H-Q特性曲线(见图8-2)可见,恒速与调速运行时工作点的移动是不同的。恒速时:由A→B→C;调速时:由A→D→E。现将二者的工作点、轴上功率、消耗功效作一比较,如表8-1和表8-2所示。
表8-1 泵的工作点、轴上功率变动表

表8-2 消耗功率比较表

以上表格的具体计算过程因篇幅所限略去。现将流量从4m³/min降至2m³/min的节电量计算如下:设Q=4m³/min的工作时间为4000h,2m³/min的工作时间也为4000h,流量同样是4m³/min,改为变频调速后轴上功率减少6. 5kW;若流量为2m³/min,则功率降低更多,可减少21.7-8.6=13.1kW,则全年节电量为(6.5×60×4000+13.1×60×4000) kW·h = 4704000kW·h
