您现在的位置是:首页 > 变频技术 > 变频技术
平面磨床工作台的负荷特点
来源:艾特贸易2017-06-05
简介平面磨床负荷图如图 10-1 所示。工作台一个循环周期有严格的规范,其负荷特点如下。 图 10-1 一个循环中转矩的变化 ①工作台切削速度和返回速度相等。 ②加减速转矩为额定转矩的
平面磨床负荷图如图10-1所示。工作台一个循环周期有严格的规范,其负荷特点如下。

图10-1 一个循环中转矩的变化
①工作台切削速度和返回速度相等。
②加减速转矩为额定转矩的150%。
③切削转矩设为额定转矩。
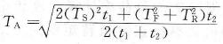
设:Ts为加减速转矩(N·m);TF为切削转矩(N·m);TR为返回时转矩(N·m);t1为工作台反向前制动时间;t2为返回和切削时间,则有效转矩TA(N·m)的计算公式为
(10-1)
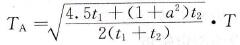
假设额定转矩为T,则TR/T=a,Ts=1.5T,TF=T,TR=at,有效转矩TA可改写为
(10-2)
平面磨床的负荷率用AED%表示,则由式(10-2)可得
(10-3)
变频器应根据磨床的负荷率计算有效转矩和电动机功率。一般来说,电动机功率比正常恒转矩调速方式可减小到80%左右。
