您现在的位置是:首页 > 变频技术 > 变频技术
变频器的开环转速控制基本概念
来源:艾特贸易2017-06-05
简介没有将实际转速的测量值转换成电信号回馈给变频器的控制输入部分,则转速的控制没有构成一个完整的环,是开环运行。即使在无速度传感器矢量控制方式下,虽然有速度调节器 AS
没有将实际转速的测量值转换成电信号回馈给变频器的控制输入部分,则转速的控制没有构成一个完整的环,是开环运行。即使在无速度传感器矢量控制方式下,虽然有速度调节器ASR,但由于电机的实际转速是通过估算而得,转速环仍不是完整的,依然是开环控制。
对不太要求快速响应的传动系统,常用开环控制。如风机、泵类采用非常灵敏的快速调速,似乎意义不大,这类负载一般都采用最简单的开环U/f恒压频控制;如食品包装机械的输送传动,要求在输送不同材料时都能保持速度稳定,但又对响应不要求到极高的程度,这时就可以使用无速度传感器矢量控制,自动修正频率,以达到负载变动时电机转速稳定的效果。
在开环速度控制中,输入信号单纯由频率给定指令构成,然后按照不同的控制方式如U/f恒压频比、无速度传感器矢量控制或者直接转矩控制DTC去驱动电动机,在负载转矩与电机转矩平衡的情况下,形成稳定转速。
对于U/f恒压频比控制方式而言,合理设置U/f是开环稳定控制的关键。以三菱A500为例,它可以设置6段U/f曲线,如图3.8所示。

图3.8 开环控制下的U/f曲线
而对于无传感器矢量控制方式来说,电机的调谐则是速度精度的可靠保证,以艾默生矢量变频器TD3000对某4极7.5kW国产Y系列电机的调谐为例进行说明。
一般来说,变频器的参数辨识分电动机静止辨识和旋转辨识两种,其中在静止辨识中,变频器能自动测量并计算定子和转子电阻以及相对于基本频率的漏感抗,并同时将测量的参数写入;在旋转辨识中,变频器自动测量电动机的互感抗和空载电流。
脱开负载进行电机调谐,变频器键盘操作如图3.9所示。

图3.9 变频器键盘操作
在调谐整定过程中,必须注意以下几点。
1)调谐过程如果出现过流或过压故障,可适当调整加、减速时间和转矩补偿数值,并取消故障自动复位功能。
2)在启动调谐前应确保电动机处于停止状态,否则调谐不能正常进行。
3)调谐前必须确保输入电动机的铭牌参数准确无误,否则调谐后的电动机参数不准确。
4)不同品牌、不同型号的变频器旋转调谐时从零速加速运行到的频率有些差异,有些是基本运行频率,有些则只有基本运行频率的50%或80%,具体可依据变频器的用户手册。
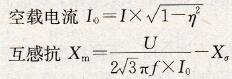
5)如果现场情况无法对电动机进行调谐的,可以参考同类电动机的已知参数手工输入,或者按照以下方式进行:先选择静止调谐,可依次计算出定子电阻、转子电阻和漏感抗3个参数,不测量电动机的互感抗和空载电流,用户可以根据电动机铭牌自行计算这两个参数,计算中用到的电动机铭牌参数有额定电压U、额定电流I、额定频率f和功率因数η,其中

式中,Xσ代表漏感抗,是定子漏感抗X11和转子漏感抗X21之和。
6)为了保证控制性能,必须按变频器标准适配电动机进行电动机配置,若电动机功率与标准适配电动机的功率差距过大(功率差别一般在1、2级之间),变频器的控制将明显下降,或者配用高转差率电动机等特殊电动机也将大大影响使用效果。
7)如果在变频器与电动机之间接有电抗器或滤波器等配件的话,将影响到自动调谐的准确度,应该在进行自动调谐前暂时拆除这些配件。
