您现在的位置是:首页 > 变频技术 > 变频技术
变频器的容量计算
来源:艾特贸易2017-06-05
简介在采用变频器驱动电动机时,先根据机械特点选用合适的异步电动机,再选用合适的变频器配接电动机。在选用变频器时.通常先根据异步电动机的额定电流(或电动机运行中的最大电
在采用变频器驱动电动机时,先根据机械特点选用合适的异步电动机,再选用合适的变频器配接电动机。在选用变频器时.通常先根据异步电动机的额定电流(或电动机运行中的最大电流)来选择变频器,再确定变频器容量和输出电流是否满足电动机运行条件。
1.连续运转条件下的变频器容量计算
由于变频器供给电动机的是脉动电流,其脉动值比工频供电时的电流要大,在选用变频器时,容量应留有适当的余量。此时选用变频器应同时满足以下三个条件

式中PM——电动机输出功率;
η——效率(取0.85);
COSψ——功率因数(取0.75);
UM——电动机的电压,V;
IM——电动机的电流,A;
K——电流波形的修正系数(PWM方式取1.05~1.1);
PCN——变频器的额定容量,kVA;
ICN一一变频器的额定电流,A。
式子中的IM如果按电动机实际运行中的最大电流来选择变频器时,变频器的容量可以适当缩小。
2.加减速条件下的变频器容量计算
变频器的最大输出转矩由最大输出电流决定。通常对于短时的加减速而言,变频器允许达到额定输出电流的130%~150%,故在短时加减速时的输出转矩也可以增大;反之,若只需要较小的加减速转矩时,也可降低选择变频器的容量。由于电流的脉动原因,此时应将变频器的最大输出电流降低10%后再进行选定。
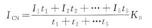
3.频繁加减速条件下的变频器容量计算
对于频繁加减速的电动机,如果按图10-1所示曲线特性运行,那么根据加速、恒速、减速等各种运行状态下的电流值,可按下式确定变频器额定值

式中 ICN一一变频器额定输出电流,A;
I1、I2、…I5——各运行状态平均电流,A;
t1、t2、"'t5——各运行状态下的时间;
K o——安全系数(运行频繁时取1.2,其他条件下取1.1)。

图10-1频繁加减速的电动机运行曲线
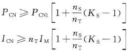
4.在驱动多台并联运行电动机条件下的变频器容量计算
当用一台变频器驱动多台电动机并联运行时,在一些电动机启动后,若再让其他电动机启动,由于此时变频器的电压、频率已经上升,追加投入的电动机将产生大的启动电流,因此与同时启动时相比,变频器容量需要大些。
以短时过载能力为150%/60s的变频器为例,若电动机加速时间在60s内,应满足以下条件

若电动机加速时间在60s以上,则应满足下面的条件

式中nT-并联电动机的台数;
ns——同时启动的台数;
PCN——连续容量,kVA,PCN1=KPMN1/ηCOSψ;
η——电动机的效率(约取0.85);
COSψ——电动机的功率因数(常取0.75);
Ks——电动机启动电流/电动机额定电流;
IM——电动机额定电流;
K——电流波形修正系数(PWM方式取1.05~1.10);
PCN——变频器容量,kVA;
ICN——变频器额定电流,A。
在变频器驱动多台电动机时,若其中可能有一台电动机随时挂接到变频器或随时
退出运行。此时变频器的额定输出电流可按下式计算

式中ICN——变频器额定输出电流,A;
IMN——电动机额定输入电流,A;
IMQ——最大一台电动机的启动电流,A;
K——安全系数,一般取1.05~1.10;
j——余下的电动机台数。
5.在电动机直接启动条件下变频器容量的计算
一般情况下,三相异步电动机直接用工频启动时,启动电流为其额定电流的5~7
倍。对于电动机功率小于10kW的电动机直接启动时,可按用下面式子计算变频器容量
式中IR——在额定电压、额定频率下电动机启动时的堵转电流,A;
Kg——变频器的允许过载倍数,Kg=1.3~1.5。
在运行中,若电动机电流变化不规则,不易获得运行特性曲线,这时可将电动机
在输出最大转矩时的电流限制在变频器的额定输出电流内进行选定。
6.在大惯性负载启动条件下的变频器容量计算
变频器过载容量通常为125%/60s或150%/60s,如果超过此值,必须增大变频
器的容量。在这种情况下,可按下面的式子计算变频器的容量

式中GD2——换算到电动机轴上的转动惯量值,N·m2;
TL——负载转矩,N·m;
η、COSψ、nM——分别为电动机的效率(取0.85)、功率因数(取0.75)、额定转速,
r/min;
tA——电动机加速时间,s;
K——电流波形的修正系数(PWM方式取1.05~1.10);
PCN ——变频器的额定容量,kVA。
7.轻载条件下的变频器容量计算
如果电动机的实际负载比电动机的额定输出功率小,变频器容量一般可选择与实际负载相称。但对于通用变频器,应按电动机额定功率选择变频器容量。
