您现在的位置是:首页 > 变频技术 > 变频技术
普通晶闸管(SCR)功率损耗和热阻抗
来源:艾特贸易2017-06-05
简介晶闸管和二极管一样有明显的导通损耗,但是其开关损耗非常小。器件的规格说明一般给出了在正弦和不同占空比的矩形波电流情况下的功率损耗。图 3-4 给出了在矩形波电流情况下的
晶闸管和二极管一样有明显的导通损耗,但是其开关损耗非常小。器件的规格说明一般给出了在正弦和不同占空比的矩形波电流情况下的功率损耗。图3-4给出了在矩形波电流情况下的功率损耗特性。反向阻断损耗和门极电路损耗也包括在图中。这些曲线适用的最大电源频率为400Hz。结附近功率损耗产生的热量流向外壳,然后通过外装的散热器发散到周围,引起结温Tj的升高。一个器件的最大Tj必须受到限制,因为它会对器件的性能产生负面影响。对于稳定的功率损耗P,Tj可以通过下式来计算


图3-4通过矩形波电流时晶闸管的平均导通损耗
式中,TA是环境温度;θJC、θCS和θSA分别代表结与外壳之间、外壳与散热器之间,以及散热器和周围环境之间的热阻。θSA由冷却系统决定,冷却的方法可以包括散热器加自然对流冷却、强制空气冷却和强制液体冷却。从式(3-1)看出,对千一个限定的Tjmax(通常是125℃),通过减小θSA可以增加允许功耗P。高效的冷却系统会增加散热能力,也就是增加器件的负载能力。θSA=0表示一个无穷大散热器,即外壳温度Tc=TA。
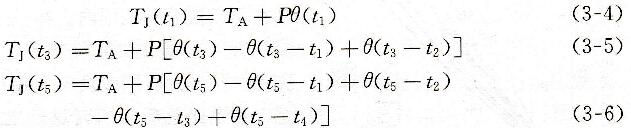
在实际运行中,功率损耗P是循环的,而热容或存储效应延迟了结温的升高,从而允许器件带更大的负载。瞬态热等效电路可以用一个并联的RC电路来表示,其中P等效为电流源,而其在电路上产生的电压代表温度Tj。图3-5 (a)给出了单个脉冲功率损耗对应的Tj曲线。再考虑到加热和冷却曲线的性质,我们可以写出下列等式

式中,θ(t1)是t1时刻的瞬态热阻抗。器件规格表通常会给出结和外壳之间的热阻抗。如果需要,还可以加散热器引起的附加效应。图3-5 (b)显示了三个重复脉冲的典型结温曲线。对应的Tj可以通过叠加原理表示为


图3-5脉冲功率损耗的Tj曲线
(a)单个脉冲;(b)多个脉冲
图3-6为一个晶闸管(CM4208A2型)的瞬态热阻抗θJC(t)随时间的变化曲线。该器件额定热阻抗为θJC=0.8℃/W,θcs=0.2℃/W。

图3-6 晶闸管(CM4208A2型)的瞬态热阻曲线
