您现在的位置是:首页 > 变频技术 > 变频技术
变频器中的三相全控桥式整流电路
来源:艾特贸易2017-07-06
简介图 2-19 所示为三相全控桥式整流电路的结构和输出波形。 图 2-19 三相全控桥式整流电路的结构和输出波形 图 2-19 (a) 所示的三相全控桥式整流电路每相中的晶闸管在导通周期受到触发信
图2-19所示为三相全控桥式整流电路的结构和输出波形。

图2-19 三相全控桥式整流电路的结构和输出波形
图2-19 (a)所示的三相全控桥式整流电路每相中的晶闸管在导通周期受到触发信号的作用才能导通,因而每个导通周期的导通时间是可控的,这样就可以控制整流电路输出的总能量(电流)。
三相全控桥式整流电路工作原理如图2-19 (c)所示,将三相整流电路分解为三个单相的整流电路,整个三相可控整流电路的输出为三个单相输出电流合成的效果,采用这种可控整流方式,可以控制整流输出的电压(或能量)。
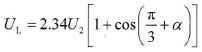
三相全控桥式整流电路输出电压的计算方法。
改变触发脉冲的相位,电路整流输出的脉动直流电压UL大小也会随之发生变化,当α≤60°时,UL电压大小可以用下面的公式计算:
UL=2.34U2 cosα
当α> 60°时,UL电压大小可以用下面的公式计算:

