您现在的位置是:首页 > 变频技术 > 变频技术
变频器中的单相全控半波整流电路
来源:艾特贸易2017-07-06
简介图 2-16 所示为单相全控半波整流电路。 图 2-16 单相全控半波整流电路 晶闸管输出的电流(能量)受触发脉冲的控制,在正半周触发脉冲出现的时间(相位)决定 VS 导通的时间,图中触
图2-16所示为单相全控半波整流电路。

图2-16 单相全控半波整流电路
晶闸管输出的电流(能量)受触发脉冲的控制,在正半周触发脉冲出现的时间(相位)决定VS导通的时间,图中触发脉冲出现在t1时刻,VS则在t1~t2内导通,0~t1时间内VS不导通。t1~t2的时间越长,VS输出的能量越多,因而可实现可控整流。
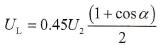
单相全控半波整流电路输出电压的计算方法:

单向晶闸管(SCR)是指其触发后只允许一个方向的电流流过的半导体器件,相当于一个可控的整流二极管。它是由P-N-P-N共4层3个PN结组成的。图2-17所示为单向晶闸管的实物外形及导通和截止特性。

图2-17 单向晶闸管的实物外形及导通和截止特性
