您现在的位置是:首页 > 变频技术 > 变频技术
变频器中的三相桥式整流电路
来源:艾特贸易2017-07-06
简介图 2-14 所示为三相桥式整流电路的结构。 图 2-14 三相桥式整流电路的结构 三相桥式整流电路的工作过程可以分解成三个单相整流电路的整流过程,分别如图 2-15 中的 (a) 、 (b) 、 (c) 所
图2-14所示为三相桥式整流电路的结构。

图2-14 三相桥式整流电路的结构
三相桥式整流电路的工作过程可以分解成三个单相整流电路的整流过程,分别如图2-15中的(a)、(b)、(c)所示。每一相整流和输出与单相桥式整流电路的工作状态相同,三个单相整流合成为三相整流效果,如图2-15 (d)所示。

图2-15 三相桥式整流电路的工作过程
三相桥式整流电路的计算方法:
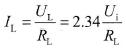
◆负载RL的电压与电流计算
对于三相桥式整流电路,其负载RL上的脉动直流电压UL与输入电压Ui有以下关系:
UL=2.34Ui
负载RL流过的电流为:

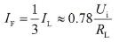
◆整流二极管承受的最大反向电压及通过的平均电流
对于三相桥式整流电路,每只整流二极管承受的最大反向电压URM如下式:

每只整流二极管在一个周期内导通1/3周期,故流过每只整流二极管的平均电流为:

