您现在的位置是:首页 > 变频技术 > 变频技术
IGBT串联逆变器加热电源的电路特点
来源:艾特贸易2017-08-02
简介1) 逆变器件具有接近于零电流开关的状况:也不是接近于软开关。由于串联谐振负载电路的选频特性,串联式逆变器的输出端电流可近似视为正弦波。逆变器可工作于φ 1 ≈ 0 的模式,
1)逆变器件具有接近于零电流开关的状况:也不是接近于软开关。由于串联谐振负载电路的选频特性,串联式逆变器的输出端电流可近似视为正弦波。逆变器可工作于φ1≈0的模式,因此逆变桥中IGBT具有近似于零电流开通和关断的软开关能力。开关损耗相应下降,效率高。
2)调节直流电压实现输出功率调节。关于晶闸管串联式逆变器功率调节的分析曾提及,由于具有电路结构简单等优点,改变迟延角β实现功率调节是一种常用方法。其缺点是β的改变也伴随着逆变器输出频率的变化,对Q值较高的负载就更明显,考虑到相控整流控制电路的集成化和晶闸管的廉价,可控整流器和不控整流器之间在复杂性、可靠性和价格等方面的距离明显缩小,因此图7-9所示的IGBT电源采用三相晶闸管可控整流电路,通过改变直流电压实现调功。
在逆变器中采用PWM调制,实现输出功率调节。
图7-10 (a)所示为逆变桥中IGBT的栅控电压时序,其中ug1和Ug4、ug2和ug3相位互补,但ug3和ug2分别超前于ug4和ug1同一角度θ,在此时序下,输出电压uH的波形如图7-10 (b)所示。对该波形的分析可知,其基波分量有效值为
(7-19)
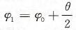
设逆变器开关角频率ω>ωH,负载呈感性,逆变器输出端电流iH≈iH1,如图7-10 (b)所示,iH1滞后于uH1的角度为φ1,由图有
(7-20)
式中,φ0为电路固有基波相移角(即θ0=180°时的相移角)。
上式表明,随着移相角θ的增大,UH1和cosφ1均下降,逆变器的输出功率也相应下降,实现调功的目的。

图7-10 PWM调压原理
(a)相控电压时序;(b)输出电压uH波形
