您现在的位置是:首页 > 变频技术 > 变频技术
变频器输入侧产生谐波的机理
来源:艾特贸易2017-08-30
简介不限于通用变频器,晶闸管供电的直流电动机、无换向器电动机等凡是在电源侧有整流电路的,都将产生因其非线性引起的谐波。 从这些设备流出的谐波电流因整流器电路的种类及其运
不限于通用变频器,晶闸管供电的直流电动机、无换向器电动机等凡是在电源侧有整流电路的,都将产生因其非线性引起的谐波。
从这些设备流出的谐波电流因整流器电路的种类及其运转状态、系统条件等不同各有其差别,这里就使用最多的三相桥式整流电路来说明。

图11-14 三相桥式电路及其交流侧的波形
三相桥式整流电路及交流输入电流波形示于图11-14电流波形为矩形波,通常含有6n±1(n=1,2,3,…)次谐波。如果电源侧电抗充分小、电流上升期间的角度u可以忽略,那么n次谐波电流为基波电流的I/n,u称为换流重叠角,与交流电路的电抗和直流电路电流等有关,可用下式给出:

式中 α-延迟角(°);
Id -直流回路电流(A);
Xs-每相的电流侧电抗(Ω);
Edo-空载不控直流电压平均值(V);
Us-电源线电压(V)。
以电源侧电抗X为参量换流重叠角u与延迟角α的关系示于图11-15。

图11-15 α与u的关系
将图11-14的交流电流波形进行傅里叶分析,求出各次谐波电流有效值如图11-16所示。
以上是在理想的条件下求出的数值,实际上还产生其他次数的谐波,有若干差异。这是由于:直流电流的脉动(因为直流侧电感为有限值);交流电压相间不平衡;延迟角相间差异;换流电抗相间差异;换相电抗相间差异所造成的。但在实用上以理想状态下的值进行研究是足够的。
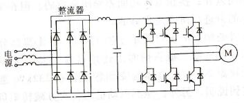
晶体管变频器的主电路示于图11-17。整流器部分由二极管整流桥构成。采用二极管桥时上述延迟角α总是为零。这里就以通用变频器200kVA晶体管变频器使用在132kW笼型电动机运转的实例说明。另外,笼型电动机为二次方减转矩负载,频率越低电流值越小。

图11-16 三相桥式整流器的谐波
a)5次谐波b)7次谐波c)11次谐波d)3次谐波
e) 17次谐波f)19次谐波g)23次谐波h)25次谐波

图11-17 晶体管变频器的主电路构成
变频器输入交流电流波形如图11-18所示,交流输入电压波形如图11-19所示。另外将以额定速度运转中的电流波形进行谐波分析,其结果如图11-20所示。由此显出含有6n±1次谐波分量。变频器输出频率变化时的变频器输入电流的谐波分析结果示于表11-3。本例在低频输出时,电源电流中含有若干非理论上的3次谐波分量。

图11-18 变频器输入电流波形

图11-19 变频器输入电压波形
上述是在直流侧装有电抗器的晶体管变频器。对于变频器在不同情况如控制方式( PWM、PAM)及改善功率因数用电抗器的有无、负载侧的输出频率、输出电流的大小等产生的谐波电流将是不同的。
在直流侧不装电抗器的变频器传动电机时,其输入电流波形如图11-21所示。风机、泵等二次方减转矩负载,频率越下降电流就越小。所以对于这种场合,变频器输入谐波电流根据所使用的最高频率(50Hz或60Hz)时的负载条件求出是适当的。即,在60Hz、100%负载下将变频器产生的谐波电流含有率制成表(见表11-4)。实际上n次谐波电流,可根据表11-5中额定输出功率时所需要的电源设备容量Qs( kVA)求出。

图11-20 输入电流谐波的实测值
表11-3 电源侧谐波电流的数据例 (单位:A)

(11-3)
式中 In-n次谐波电流(A);
Us-电源线电压(V);
Kn-n次谐波电流含有率(%)。

图11-21 变频器输入电流波形
a)输入侧无电抗器b)输入侧有电抗器
表11-4 电源侧谐波电流含有率的数据例


表11-5 变频器的电源设备容量例

