您现在的位置是:首页 > 变频技术 > 变频技术
变频器输出谐波对电动机的影响
来源:艾特贸易2017-11-22
简介引起电动机附加发热,导致电动机的额外温升,电动机往往要降额使用,由于输出波形失真,增加电动机的重复峰值电压,影响电动机绝缘,谐波还会引起电动机转矩脉动以及噪声增加
引起电动机附加发热,导致电动机的额外温升,电动机往往要降额使用,由于输出波形失真,增加电动机的重复峰值电压,影响电动机绝缘,谐波还会引起电动机转矩脉动以及噪声增加。
普通电流源型变频器的输出电流不是正弦波,而是120°的方波,因而三相合成磁动势不是恒速旋转的,而是步进磁动势,它和基本恒速旋转的转子磁动势产生的电磁转矩除了平均转矩以外,还有脉动的分量。转矩脉动的平均值为0,但它会使转子的转速不均匀,产生脉动,在电动机低速时,还会发生步进现象,在适当的条件下,可能引起电动机与负载组成的机械系统的共振。脉动转矩主要是由基波旋转磁通和转子谐波电流相互作用产生的。在三相电动机中,产生脉动转矩的主要是6n±1次谐波。6脉冲输出电流源型变频器输出电流中含有丰富的5次和7次谐波,5次谐波产生的旋转磁动势与基波旋转磁动势反向,7次谐波产生的旋转磁动势与基波旋转磁动势同向,而电动机转子的电气旋转速度基本接近基波磁动势的旋转速度(两者的差别对应于电动机的转差率),所以5次谐波磁动势和7次谐波磁动势都会在电动机转子中感应产生6倍于基波频率的转子谐波电流。基波旋转磁动势和6倍频的转子谐波电流共同作用,产生6倍频的脉动转矩,所以6脉冲输出电流源型变频器含有较大的6倍频脉动转矩。同样,11次和13次谐波电流也会产生一个12倍频的脉动转矩。图11-38为6脉冲电流源型变频器在输出频率为30Hz时的转矩脉动值(图中纵坐标采用对数坐标)。
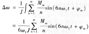
脉动转矩在低速时对电动机转速的影响尤为明显。因为,对三相电动机而言,由于6n±1次谐波存在,产生的电磁转矩为

式中M0-基波转矩;
Mm-转矩脉动分量的最大值;
ω1-变频器输出基波电压的角频率。
根据电动机运动方程,可得由于谐波原因引起的电动机转速的脉动分量为

由上式可知,电动机转速的脉动程度有以下规律,转速脉动频率分别为电动机基波工作频率ω1的6n倍,其幅值与变频器输出的基波角频率ω1(或频率f)成反比,即输出频率(或电动机转速)越低,转速波动越大,也就是说,电动机在低速运行情况下,为了使转速波动量维持在同一水平,对输出谐波抑制的要求更高。转速脉动与变频器输出的谐波次数n成正比,即低次谐波所引起的转速脉动幅值比高次谐波的影响更大。所以,要使电动机的转速脉动较小,首先要消除或抑制变频器输出的低次谐波,采取高频PWM方法,将输出谐波往高频推移,是减少转速脉动的有效办法。
电流源型变频器采用12脉冲多重化的,输出电流波形更接近正弦波,由于5次谐波和7次谐波大大降低,6倍频率脉动转矩大大减小,剩下主要为12倍频的脉动转矩,总的转矩脉动明显降低。
多重化变频器输出谐波电流较小,电动机的转矩脉动分量很小,图11-39显示了无谐波变频器在输出频率为30Hz时的输出转矩脉动,各次脉动转矩都在0. 1%以下。

图11-38 电流源型变频器转矩脉动

图11-39 单元串联多电平变频器转矩脉动
(部分原创文章应编辑稿费需求,每篇需要收取2元的稿费,如需查看全文请联系客服索取,谢谢理解!在线客服:
)
