变频技术
变频技术
-
变频器的闭环U/f控制
变频技术
闭环 U/f 控制就是在 U/f 控制方式下,设置转速反馈环节。测速装置可以是旋转编码器,也可以是光电开关,安装方式比较自由,既可以安装在电动机轴上,也可以安装在其他相关联的位...
阅读更多 -
矢量控制型变频器应用在哪些场合,哪些场合不
变频技术矢量控制型变频器的运行需要被控制电动机的一系列参数,这一点在一定程度上决定了它的适用范围。 (1) 适用范围 ①应用无反馈矢量控制的场合。无反馈是指不需要用户在变频器外部...
阅读更多 -
怎样确定变频调速电动机与变频器之间连线的最
变频技术在变频器使用说明书中,一般要给出配用电缆线的最大长度和最小截面积。对于电缆线的最大长度有的规定为 100m ,有的为 150m 或 200m ,最多的为 300m 。 实际配用时,建议控制在 100m...
阅读更多 -
无速度传感器矢量控制方式基本概念
变频技术
在高性能的异步电动机矢量控制系统中,转速的闭环控制环节一般是必不可少的。通常,采用旋转编码器等速度传感器来进行转速检测,并反馈转速信号。但是,由于速度传感器的安装...
阅读更多 -
什么是变频器的“自动检测”或“自学习”功能
变频技术
矢量控制变频器在控制一台电动机运行时,必须事先根据被控制的电动机相关参数(包括其定子绕组的直流电阻和漏磁电抗、定子绕组的直流电阻和漏磁电抗的折算值等)进行等效变换...
阅读更多 -
变频调速电动机在某一频率段运行时噪声大或振
变频技术(1) 原因 有时,变频调速电动机在某一频率段运行时,出现噪声大或振动大的现象。这是因为电动机及其连接的负载、安装基架等组成的机械系统(以电动机为主)的固有振荡频率刚好...
阅读更多 -
电动机无速度传感器矢量控制参数的调谐整定
变频技术
由于电动机磁通模型的建立必须依赖于电动机参数,因此选择无速度传感器矢量控制时,第一次运行前必须首先对电动机进行参数的调谐整定。目前,新型矢量控制通用变频器中已经具...
阅读更多 -
变频器有哪些与外部连接的端子,怎样标识
变频技术
(1) 变频器与外部连接的端子及标识 变频器与外部连接的端子及标识规定见表 10-3 和图 10-13 。 表 10-3 变频器与外部连接的端子和标识规定 图 10-13 变频器的出线端子符号、 排列图及与外...
阅读更多 -
普通电动机使用变频器供电时的运行噪声和振动
变频技术普通电动机使用变频器供电时的运行噪声和振动会比使用网络电源时增大的数值与所用变频器的性能以及与电动机相互配套的关系、运行时的状态等很多因素有关。但噪声值一般要大...
阅读更多 -
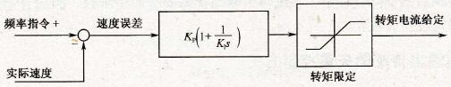
无速度传感器矢量控制的速度调节器ASR
变频技术
速度调节器 ASR 的结构如图 2.9 所示,图 2.9 中 KP 为比例增益, K1 为积分时间。积分时间设为 0 时,则无积分作用,速度环为单纯的比例调节器。由于是无速度传感器矢量控制方式,速...
阅读更多
