变频技术
变频技术
-
变频器上限频率和最高频率有什么区别
变频技术
1 .上限频率和下限频率的确定。上限频率和下限频率是根据生产工艺的要求设定的。以某搅拌机为例,生产工艺要求: 最高搅拌速度 nLH ≤ 600r/min ; 最低搅拌速度 nLL ≥ 150r/min 。 如...
阅读更多 -
什么是变频器S形加速方式
变频技术
所谓 S 形加速,就是在加速过程的起始阶段和终了阶段,使变频器的输出频率上升得缓慢一些,或者说,使加速度有一个逐渐加大和逐渐减小的过程,如图 2-27 所示。 图 2-27 S 形加速方...
阅读更多 -
有一台鼓风机,每当运行在20Hz时,振动特别严重
变频技术
当电动机在某一频率(如本例中之 20Hz )下运行时,其振动频率和机械的固有振荡频率相等或接近时,将发生机械的谐振。遇到这种情况,说明电动机不宜在该频率下运行。该频率属于...
阅读更多 -
某风机起动到40Hz以后容易跳闸
变频技术
某风机在低速时的起动电流不大,如缩短加速时间,则起动到 40Hz 以后容易跳闸,而起动过程又不希望太长,怎么办? 风机在低速时阻转矩很小,加速过程可以快一些,所以,是不需要...
阅读更多 -
载波频率对电动机的运行有些什么影响
变频技术
1 .提高载波频率的好处 (1) 改善电流波形。适当提高载波频率,可以改善电流波形,如图 2-20a 所示。 (2) 减小电磁噪声。产生电磁噪声的原因是:与载波频率相同的谐波电流使定子铁心...
阅读更多 -
有一台并联在水路中的水泵,在0Hz时起动不起来
变频技术
如图 2-29 所示, M1 、 M2 、 M3 ……是若干台在水路中并联供水的水泵。当 M1 、 M2 已经运行,开始供水后, M3 难以从 0Hz 开始起动。 1 . M3 难以起动的原因 (1) 因为管路中已经存在着一...
阅读更多 -
22kW的搅拌用电动机用了变频器后50Hz时的满载电流
变频技术22kW 的搅拌用电动机,工频运行时的满载电流是 41A ,用了变频器后, 50Hz 时的满载电流是 43A (额定电流是 42.5A ),为什么?能否减小? 如上述,变频器同一桥臂的两个逆变管在交替...
阅读更多 -
由于带式输送机静摩擦力较大而难以起动
变频技术
一方面,在静摩擦力较大的场合,也应该预置起动频率,使负载在起动时有一点冲击力,以帮助它克服静摩擦力; 另一方面,使负载在起动频率 fs 下运行一个短时间,确保它已经运转...
阅读更多 -
变频器的输出电压和电流不完全一样
变频技术为什么在容量、载波频率和输出频率都相同的情况下,不同变频器的输出电压(电动机满载运行)和电流不完全一样 这和变频器所用逆变管的参数(主要是关断时间)有关。 目前,逆...
阅读更多 -
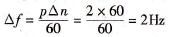
起动频率以多大为宜
变频技术
1 .恒转矩负载。一般情况下,以起动时电动机的同步转速不超过额定转差为宜。例如, Y-132M-4 电动机 (7.5kW) 的额定转速为 nMN=1440r/min ,则额定转差为: △ n=1500 - 1440= 60r/min 和额定转差...
阅读更多
