变频技术
变频技术
-
变频器的多U/f选择功能
变频技术该功能的作用是用一台变频器分别驱动几台特性各异的电机或者用变频器驱动变极电机以得到较宽的调速范围。利用变频器的这个功能,可以根据电机的不同特性设定不同的 U/f 值,然...
阅读更多 -
变频器机械负载与电机转矩
变频技术
变频器传动系统,简单地说,就是可调速交流电机驱动系统,常由变频器、异步电机和生产机械构成一个整体。就电机和生产机械之间的关系看,多数情况下是通过一种机械传动装置互...
阅读更多 -
变频器的恒转矩负载
变频技术
对于传送带、搅拌机、挤压成形机等摩擦负载,吊车或升降机等重力,无论其速度变化与否,负载所需要的转矩大体上是一个定值。此类负载称为恒转矩负载,其转速一转矩特性如图...
阅读更多 -
变频拖动系统传动机构的传动比
变频技术
传动机构的输入轴和输出轴之间的转速之比,称为传动比: (4-10) 式中 - 传动比; nM- 电动机的转速,通常是传动机构输入轴的转速 ( r/min) ; nL- 负载的转速,通常是传动机构输出轴的转...
阅读更多 -
变频器传动来提高生产率
变频技术
提高生产率是变频器传动的另一个重要目的。提高生产率的措施有很多种,利用通用变频器可以实现这些措施。 1 .保证加工工艺中的最佳转速 恰当地选择食品加工机械、金属加工机械...
阅读更多 -
变频器的输入电压和输出电压
变频技术
(1) 额定输入电压。是指适用于变频器的电源电压,在我国,低压电网的电压是 380V 。 (2) 额定输出电压。因为变频器的输出电压是随频率而变的,不是常数,所以,变频器是以最大输出...
阅读更多 -
变频拖动系统传动机构的折算
变频技术
(1) 折算的必要性。在分析电动机能否带得动负载时,需要对电动机的转矩和负载转矩在同一个坐标系内进行比较,但当传动机构的传动比不等于 1 时,比较时出现了麻烦。举例说明如下...
阅读更多 -
变频器传动来提高产品质量
变频技术引入变频器传动,适应生产工艺的多方面要求,以提高产品质量的例子很多,列举如下。 1 .加工对象的最佳速度 车床、铣床等加工机械,大致分成工件旋转式和刀具旋转式两大类。不...
阅读更多 -
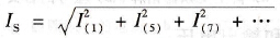
变频器的输入电流与输出电流
变频技术
在图 4-10a 中,电源侧的额定电流是 86A ,而输出侧的额定电流只有 60A ,原因何在呢?这是因为,变频器的输入电流中,存在着许多无功的高次谐波成分。所以,输入的全电流应该是:...
阅读更多 -
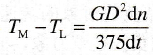
变频拖动系统的功率条件
变频技术
(1) 电动机轴上输出的额定功率 (4-16) 式中 PMN- 电动机的额定功率 (kW) ; TMN- 电动机的额定转矩 (N m) ; nMN- 电动机的额定转速 ( r/min) 。 (2) 负载轴上消耗的功率 (4-17) 式中 PL- 负载消耗的...
阅读更多
