变频技术
变频技术
-
通用变频器转差频率控制系统的构成
变频技术
图 2-12 为转差频率控制系统构成图。采用转子速度闭环控制,速度调节器将速度设定信号 * 与检测电动机实际速度比较后的偏差信号放大,产生转差频率指令信号 s* ,变频器的设定频率...
阅读更多 -
变频器外接输出信号的项目
变频技术
1 .运行状态信号 RUN :运行信号。变频器处于运行状态时,其内部触点闭合。 SU :频率达到信号。当变频器的输出频率达到某一设定值时,内部开关闭合。这又有两种情形: (1) 频率达...
阅读更多 -
通用变频器的转差频率控制系统性能分析
变频技术
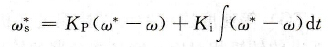
①启动过程 速度调节器采用 PI 调节器,在调节器不饱和时的输入、输出的关系见式 (2-7) 。 (2-7) 式中 KP- 比例放大系数; Ki- 积分系数。 在调节器出现饱和时,它的输出由设定的限幅值...
阅读更多 -
变频器按转子磁场定向的矢量控制
变频技术
旋转矢量控制技术的关键在于通过旋转坐标变换使定子磁链、转子磁链或者合成气隙磁动势与旋转坐标 M 轴重合,也叫磁场定向。电流矢量分为励磁电流分量和转矩电流分量,分别控制...
阅读更多 -
变频器外接输出信号端的配置
变频技术
1 .接线端子与输出信号和输入控制端的情形相仿,为了达到既扩展功能的数量,又节省接线端子的目的,各输出信号端的具体功能要由用户根据工作需要来具体设定。但报警信号端通...
阅读更多 -
通用变频器矢量控制的特点与适用范围
变频技术
(1) 矢量控制的特点 对于他励直流电动机,电动机的磁场由励磁绕组产生,在励磁电流不变时如果忽略电枢反应所造成的影响,电动机的转矩与电枢电流成正比,控制电枢电流即可控制...
阅读更多 -
变频器矢量控制的基本结构
变频技术
通过矢量坐标变换和按转子磁链定向,最终得到三相异步电动机在同步旋转坐标系上的等效直流电动机模型。余下工作就是如何模仿直流电动机转速控制方法来设计三相异步电动机矢量...
阅读更多 -
通用变频器负载的机械特性
变频技术
机械特性是描述电动机转速 n 与转矩 T 之间的关系 n=f ( T )函数特性。电动机拖动生产机械运行时常用负载转矩标志其负载的大小。不同生产机械的转矩随转速变化的规律不同。在变...
阅读更多 -
通用变频器的恒转矩特点
变频技术
带式输送机是恒转矩负载的典型例子,其基本结构和工作情况如图 2-14 (a) 所示。负载的阻力来自于皮带与滚筒间的摩擦力,作用半径就是滚筒的半径。负载阻转矩的大小如式 (2-9) 所示...
阅读更多 -
矢量控制方式变频器的典型应用
变频技术板坯连铸机技术与传统连铸机相比,以其高拉速、高作业率、高质量的优势,近几年在国内得以较快的发展。我国板坯连铸机应用始于 20 世纪 90 年代,在板坯连铸机控制领域,经过多...
阅读更多
