变频技术
变频技术
-
大惯性负载变频器选择技术方法
变频技术大惯性负载如离心泵、冲床、水泥厂的旋转窑等,此类负载的惯性很大,启动速度慢,启动时可能会产生振荡,电动机减速时有能量回馈。此类负载可选择通用 U/f 控制变频器,为提高...
阅读更多 -
变频器的PID调节功能预置
变频技术
1)PID 动作选择 在自动控制系统中,电动机的转速与被控量的变化趋势相反,称为负反馈,或正逻辑,反之为负逻辑,如空气压缩机的恒压控制中,压力越高要求电动机的转速越低,其逻...
阅读更多 -
不均匀负载变频器选择技术方法
变频技术不均匀负载是指系统工作时负载时轻时重,如轧钢机、粉碎机、搅拌机等。对不均匀负载选择变频器容量,要以负载最大时进行测算;如没有特殊要求,可选择通用 U/f 控制变频器。轧...
阅读更多 -
变频器的过电流保护控制功能
变频技术
变频器中,过电流保护的对象主要指带有突变性质的或电流的峰值超过了变频器的允许情形。由于逆变器件的过载能力较差,所以变频器的过电流保护是非常重要的一环。 1) 过电流的原...
阅读更多 -
流水线用变频器选择技术方法
变频技术流水线用变频器,要求具有多台电动机按同一速度(或按一定速度比)运行的特点,选择这一类变频器,要注意在运行时必须具有一定的速度精度。...
阅读更多 -
变频器的电子热保护功能
变频技术
电子热保护功能是进行过载保护,主要是保护电动机。其保护的主要依据是电动机的温升不应超过额定值。 热保护曲线如图 6.37 所示,主要特点有以下几种。 (1) 具有反时限特性。 (2...
阅读更多 -
变频器连续运行场合的容量计算
变频技术变频器容量的确定是选择变频器的关键一步,如果容量选择不准确,会造成变频器及电动机发热,也达不到预期的应用效果。选择变频器时,通常以原来(或新选定的)电动机容量和电...
阅读更多 -
变频器的适用负载选择技术方法
变频技术
选择使用与负载最适宜的输出特性 (U/f 特性 ) 。 0 适用恒转矩负载(运输机械、台车),如图 6.38(a) 所示。 1 适用二次方律负载(风机、水泵),如图 6.38(b) 所示。 2 提升类负载。正转...
阅读更多 -
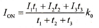
变频器频繁加、减速运行的场合的容量计算
变频技术
变频器加、减速时电流大于工作电流,若变频器工作时频繁加、减速,则选择变频器时容量应适当加大,可按式 (6-6) 计算,即 (6-6) 式中: ION 为变频器输出额定电流, A ; I1 、 I2 ,...
阅读更多 -
变频器的操作模式选择技术方法
变频技术
1 一一 PU 操作模式是指启动信号和频率设定均用变频器的操作面板操作,及运行指令用 RUN 键或操作面板 (FR-PA02-02) 的 FWD/REV 键,频率设定用 键。 2 一一外部操作模式是指根据外部的频...
阅读更多
