变频技术
变频技术
-
变频器根据控制方式分类
变频技术在交流变频器中使用的控制方式有 U/f 协调控制、转差频率控制、矢量控制、直接转矩控制等。 (1) U/f 控制 U/f 控制是在改变电源频率进行调速的同时,又要保证电动机的磁通不变,通用...
阅读更多 -
高压变频器主电路的控制方式
变频技术各种电动机在实现调速时,都必须采取一些辅助手段,以改善电动机的机械特性和调速性能。以直流电动机为例,在调速过程中,必须加入电流反馈环节(内环)和转速反馈环节(外环...
阅读更多 -
交-直-交电压型变频调速系统
变频技术
图 4-11 所示为典型交 - 直 - 交电压型变频调速系统,它的特点是结构简单,适用于对调速性能要求不高的场合。系统主要由主电路、电压控制环节、频率控制环节、给定环节四部分组成...
阅读更多 -
台达变频器与计算机串口的通信
变频技术
变频器自身带有控制面板,具有简单、高效的特点,但由于现场操作不够方便、直观性差以及仅能实现单机控制等缺点,实际应用中多采用 E 模式运行,即信号完全取自变频器外部。通...
阅读更多 -
交-直-交电流型变频调速系统
变频技术
图 4-13 所示为典型交-直-交电流变频调速系统原理图,它的特点是控制电路简单,比较容易实现可逆运转、再生制动和能耗制动。该系统主要由主电路、电压控制环节、频率控制环节、...
阅读更多 -
变频器基本原理
变频技术
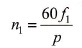
异步电动机调速的基本原理基于以下公式。 (1-1) 式中: n1 为同步转速 (r/min); f1 为定子供电电源的频率 (Hz) ; p 为磁极对数。 一般异步电动机转速 n 与同步转速 n1 之间存在一个滑差关...
阅读更多 -
变频器的主要分类
变频技术(1) 按变换的环节分类 ①交 - 交变频器。交 - 交变频器是将工频交流电直接变换成频率、电压可调的交流电(转换前后的相数相同),又称直接式变频器。对于大容量、低转速的交流调...
阅读更多 -
变频调速系统的开关量输入输出电路隔离技术
变频技术
考虑到控制电路的抗干扰性能,开关量输入、输出电路均应采用光电耦合器。带光电耦合器的开关量输入电路如图 3-18 所示。外电路电源为 +15V ,变频器电源为 +24V ,两个电源是隔离的...
阅读更多 -
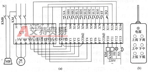
怎样控制提升机的运行和调速?
变频技术
这是一台在地面遥控操作的提升机。 1 .控制特点 控制电路如图 6-25 (a) 所示,手持控制器如图 6-25 (b) 所示。 (1) SB1 和 SB2 用于控制接触器 KM ,从而控制变频器的通电与断电。 (2) STF 和...
阅读更多 -
变频器的类型选择技术方法
变频技术选用变频器时一定要做详细的技术经济分析论证,对于那些负荷较大且非变工况运行的设备不宜采用变频器。变频器具有较多的品牌和类型,价格相差很大。为此,必须了解变频器的技...
阅读更多
