变频技术
变频技术
-
变频技术的发展过程
变频技术变频器是将固定频率的交流电变换为频率连续可调的交流电的装置。变频器的问世,使电气传动领域发生了一场技术革命,即交流调速取代直流调速。交流传动与控制技术是目前发展最...
阅读更多 -
变频器的过载保护主要对象
变频技术变频器的过载保护功能是用来保护电动机过载的。由于相同的变频器所带的电动机容量不一定一样,电动机所带负荷的特点也各不相同,故过载保护是由用户根据电动机及负载的情形来...
阅读更多 -
通用变频器的应用范围不断扩大
变频技术通用变频器不仅在工业的各个行业广泛应用,就连家庭也逐渐成为通用变频器的应用市场。正因为通用变频器的应用范围不断扩大,使其产品向以下 3 个方向发展。 (1) 向无需调整便能...
阅读更多 -
什么情况下电动机过载是允许的
变频技术①电动机的短时间过载 变频器的输出电流已经超过了电动机的额定电流,但并未超过变频器的额定电流。只要电动机的温升未超过额定值,变频器将不作反应。 ②短时间的冲击过载 电...
阅读更多 -
通用变频器使用的功率器件不断更新换代
变频技术变频技术是建立在电力电子技术基础之上的。在低压交流电动机的传动控制中,应用最多的器件有 GTO 、 GTR 、 IGBT 及 IPM(Intelligent Power Module ,智能模块 ) 。 IGBT 集 GTR 的低饱和电压特性...
阅读更多 -
变频器电子热保护
变频技术为了防止电动机烧损,通常使用热动式热继电器,即对于变频器驱动的电动机,利用变频器内部的微机根据运转电流、运行频率计算出电动机的温度特性,进行过热保护,这就是电子热...
阅读更多 -
变频器如何处理电动机的过载问题
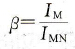
变频技术
针对电动机过载的特点,新型的变频器都提供了具有反时限性的电子热保护装置。 ①反时限特性指过载后保护动作的时间和过载电流的大小成反比,保护曲线如图 4-4 (a) 所示。图中,横...
阅读更多 -
变频器在通电前应做哪些准备工作?
变频技术
答主要准备工作如下: 1 .对机械安装的检查 (1) 变频器必须可靠地安装妥当。 (2) 电动机已经就位,并已固定好。 (3) 如果电动机不能脱离负载,应转动电动机的输出轴,保证其灵活转...
阅读更多 -
变频器的电子热保护功能和一般的热继电器的区
变频技术①相同点 都具有反时限特性,即过载越严重(电流越大),允许运行的时间越短。 ②不同点 a .热继电器发热元件的时间常数与电动机发热时间常数不可能十分接近;但变频器则是通...
阅读更多 -
变频器失速防止功能基本概念
变频技术如果给定的升速时间过短,变频器的输出频率变化远远超过转速(电角频率)的变化,变频器将因流过过大电流而跳闸,运转停止,这就叫做失速。为了防止失速使电动机继续运转,变...
阅读更多
