您现在的位置是:首页 > CAD画图 > CAD画图
cad画一个圆与另两圆内切、外切
本文转载来源:zwcad.com zwsoft.cn 中望CAD官方教程.如果作者或相关权利人不同意转载,请跟我们联系,我们立即删除文章。2021-05-08
简介cad画一个圆与另两圆内切、外切 CAD是强大的画图软件,功能非常的多样化。在CAD中圆与圆之间的外切,内接对新手来说可能有点复杂,今天小编就给大家讲解一下具体的步骤。 方法/步
cad画一个圆与另两圆内切、外切
CAD是强大的画图软件,功能非常的多样化。在CAD中圆与圆之间的外切,内接对新手来说可能有点复杂,今天小编就给大家讲解一下具体的步骤。
方法/步骤
1.我们在绘制存在两个切点的公切圆的时候,选择圆工具,如图所示,可以看出圆工具提供了两种画公切圆的方法。

2.如果我们已经知道公切圆半径时,可以直接使用切点、切点、半径的方法,绘制公切圆。
输入c,空格,t,空格,分别在两个圆大概的切点位置点击一下,再输入公切圆半径,空格,绘制出公切圆。如图所示。



3.如果我们只知道公切圆圆心位置,需要先算出公切圆半径。再重复第2步的过程,绘制公切圆,

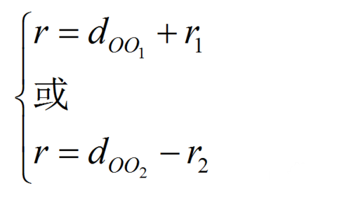
在上方的菜单栏,选择标注-对齐,调用对齐标注工具,点击公切圆圆心和内切圆圆心,空格,标注出两圆心之间的距离d(OO1)。重复,标注出公切圆圆心和外切圆圆心之间的距离d(OO2)。


根据d(OO1)或d(OO2)计算出公切圆半径r,重复第2步的过程绘制出公切圆。

效果如下:完成。

其实圆与圆之间的外切和内接还有很多种情况,需要我们更加深入的学习。掌握不同条件下的绘制方法,对我们学习CAD非常的有帮助。
点击排行
CAD多种快速移动图形的方法