您现在的位置是:首页 > 电气技术 > 电气技术
施密特触发器的作用_施密特触发器的应用_用TTL门构成的施密特触发器
来源:艾特贸易2017-08-28
简介施密特触发电路( 简称)是一种波形整形电路,当任何波形的信号进入电路时,输出在正、负饱和之间跳动,产生方波或脉波输出。不同于比较器,施密特触发电路有两个临界电压且形
施密特触发电路( 简称)是一种波形整形电路,当任何波形的信号进入电路时,输出在正、负饱和之间跳动,产生方波或脉波输出。不同于比较器,施密特触发电路有两个临界电压且形成一个滞后区,可以防止在滞后范围内之噪声干扰电路的正常工作。如遥控接收线路,传感器输入电路都会用到它整形。
施密特触发器
一般比较器只有一个作比较的临界电压,若输入端有噪声来回多次穿越临界电压时,输出端即受到干扰,其正负状态产生不正常转换。
施密特触发器的用途很广,其典型应用举例如下:
u 用于波形变换
利用施密特触发器状态转换过程中的正负反馈作用,可以把边沿变换缓慢的周期性信号变换为边沿很陡的矩形脉冲信号。
在图1的例子中,输入信号是由直流分量和正弦分量叠加而成的,只要输入信号的幅度大于VT+,即可在施密特触发器的输出端得到同频率的矩形脉冲信号。

图1 用施密特触发器实现波形变换
u 用于脉冲整形
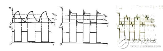
数字系统中矩形脉冲经传输后会发生波形畸变。下图(a)波形的上升沿和下降沿明显变坏是由于传输线上电容较大。下图(b)波形的上升沿和下降沿将产生振荡现象是因为传输线较长且接收端的阻抗与传输线阻抗不匹配。下图(c)信号上出现附加的噪声是因为其他脉冲信号通过导线间的分布电容或公共电源线叠加到矩形脉冲信号上。

(a) (b) (c)
图2 用施密特触发器对脉冲整形
无论出现上述的那一种情况,都可以通过用施密特触发器整形而获得比较理想的矩形脉冲波形。由图可见,只要施密特触发器的VT+和VT-设置得合适,均能收到满意的整形效果。
u 用于脉冲鉴幅
由图3可见,若将一系列幅度各异的脉冲信号加到施密特触发器的输入端时,只有那些幅度大于VT+的脉冲才会在输出端产生输出信号。因此,施密特触发器能将幅度大于VT+的脉冲选出,具有脉冲鉴幅的能力。

图3 用施密特触发器鉴别脉冲幅度
u 构成多谐振荡器
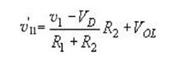
利用施密特触发器构成多谐振荡器。其电路如图4所示。接通电源瞬间,电容C上

图4 用施密特触发器构成的多谐振荡器 图5 图4的波形
的电压为0V,输出v0为高电平。v0通过电阻R对电容C充电,当vi达到VT+时,施密特触发器翻转,输出为低电平,此后电容C又开始放电,vi下降,当vi下降到VT-时,电路又发生翻转,如此周而复始地形成振荡。其输入、输出波形如图5所示。若在图4中采用的是CMOS施密特触发器,且
,根据图5的电压波形得到振荡周期计算公式为

当采用TTL施密特触发器(例如7414)时,电阻R不能大于470W,以保证输入端能够达到负向阈值电平。R的最小值由门的扇出数确定(不得小于100W)。对于典型的参数值(VT-=0. 8V,VT+=1.6V输出电压摆幅为3V),其输出的振荡频率为: 
最大可能的振荡频率为10MHZ。
施密特触发器的应用
1、波形变换
可将三角波、正弦波等变成矩形波
2、脉冲波的整形
数字系统中,矩形脉冲在传输中经常发生波形畸变,出现上升沿下降沿不理想的情况,可用施密特触发器整形后,获得较为理想的矩形脉冲。
3、脉冲鉴幅
幅度不同、不规则的脉冲信号时加到施密特触发器的输入端时,能选择幅度大于欲设值的脉冲信号进行输出。
施密特触发器常用芯片:
74LS18双四输入与非门(施密特触发)
74LS19六反相器(施密特触发)
74132、74LS132、74S132、74F132、74HC132四2输入与非施密特触发器
74221、74LS221、74 HC221 74 C22双单稳态多谐振荡器(有施密特触发器)
用TTL门构成的施密特触发器
图1所示为用两个TTL门构成的施密特触发器电路。图中 G1为与非门,G2为反相器,vⅠ通过电阻R1和R2来控制门的状态。因为R1R2值不能取很大,因此串接二极管D,防止vO=VOH时,G2的负载电流过大。

图1 两级TTL门构成的施密特触发器
当输入vⅠ=0时,门G1截止,vO=VOH;门G2导通,输出vO=VOL。当vⅠ逐步上升,使二极管D导通,则:

式中,VD为二极管D导通压降,VOL≈0.3V≈0V.当v1上升到Vth时,由于G1另一输入端v1'仍低于Vth,电路状态不变。当vⅠ逐步上升至使v1'≥Vth(Vth为TTL门阈值电平)时,门G1将由截止转为导通;门G2由导通转为截止,vO=VOH,触发器发生一次翻转。此时vⅠ为上限触发电平,如果忽略v1'=Vth时G1的输入电流,则可得到
故得
只要输入vⅠ》VT+,触发器就处于输出 vO=VOH的稳定状态。
当输入vⅠ逐步下降时,只要vⅠ≤Vth,门G1将由导通转为截止,vO=VOH;门G2由截止转为导通,vO=VOL,触发器再次发生翻转,此时vⅠ为下限触发电平VT-=Vth,因此,电路的回差电压

调整电阻R1和R2得分压值,可以改变回差大小。
点击排行
室内风扇电机和霍尔元件的检测