您现在的位置是:首页 > 电气技术 > 电气技术
施密特触发器的基本原理_施密特触发器电路工作原理详解_555定时器组成施密特触发器
来源:艾特贸易2017-08-28
简介施密特触发器最重要的特点是能够把变化缓慢的输入信号整形成边沿陡峭的矩形脉冲。同时,施密特触发器还可利用其回差电压来提高电路的抗干扰能力。它是由两级直流放大器组成,
施密特触发器最重要的特点是能够把变化缓慢的输入信号整形成边沿陡峭的矩形脉冲。同时,施密特触发器还可利用其回差电压来提高电路的抗干扰能力。它是由两级直流放大器组成,电路如图2-64所示。

两只晶体管的发射极连接在一起。该电路也有两个稳定状态,但它是靠电位触发的。它的两个稳态分别为vrrl饱和、VT2截止与VT2饱和、VT1截止。两个稳态的相互转换取决于输入信号的大小,当输入信号电位达到接通电位且维持在大于接通电位时,电路保持为某一稳态;如果输人信号电位降到断开电位且维持在小于断开电位时,电路迅速翻转且保持在另一状态,该电路常用于电位鉴别、幅度鉴别以及对任意波形进行整形。
施密特触发器作用
1.施密特的主要作用是使得的小幅值干扰不会对反相器产生影响,从而避免了误动作的发生。因些斯密特触发器的最主要应用主要是为了提高抗干扰能力。如果刚好设定在5V的话,那么当电源在5V附近小范围的波动时,就会导致检测电路不停的动作。如果加上一个施密特触发器的话,就可以设定一个范围了。例如电压跌落到4.7V就断开,但要回升到5V才能接通。
2.另外也可以将它用在复位电路中。
3.些外还经常用于触发,波形整形,滤波,用作反向器等。
下面介绍几例施密特触发器的典型应用及原理。
利用施密特触发器可以将非矩形波变换成矩形波

图1 用施密特触发器实现波形变换
利用施密特触发器可以恢复波形

图2 用施密特触发器对脉冲整形
利用施密特触发器可以进行脉冲鉴幅

图3 用施密特触发器鉴别脉冲幅度
施密特触发器电路工作原理详解
什么叫触发器
施密特触发电路( 简称)是一种波形整形电路,当任何波形的信号进入电路时,输出在正、负饱和之间跳动,产生方波或脉波输出。不同于比较器,施密特触发电路有两个临界电压且形成一个滞后区,可以防止在滞后范围内之噪声干扰电路的正常工作。如遥控接收线路,传感器输入电路都会用到它整形。
施密特触发器
一般比较器只有一个作比较的临界电压,若输入端有噪声来回多次穿越临界电压时,输出端即受到干扰,其正负状态产生不正常转换,如图1所示。

图1 (a)反相比较器 (b)输入输出波形
施密特触发器如图2 所示,其输出电压经由R1 、R2 分压后送回到运算放大器的非反相输入端形成正反馈。因为正反馈会产生滞后(Hysteresis)现象,所以只要噪声的大小在两个临界电压(上临界电压及下临界电压)形成的滞后电压范围内,即可避免噪声误触发电路,如表1 所示

图2 (a)反相斯密特触发器 (b)输入输出波形
表1施密特触发器的滞后特性

反相施密特触发器
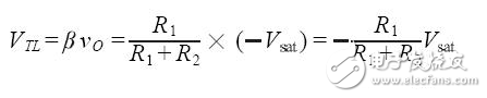
电路如图2 所示,运算放大器的输出电压在正、负饱和之间转换:
νO= ±Vsat 。输出电压经由R1 、R2 分压后反馈到非反相输入端:ν+= βνO,
其中反馈因数=
当νO为正饱和状态(+Vsat )时,由正反馈得上临界电压

当νO 为负饱和状态(- Vsat )时,由正反馈得下临界电压

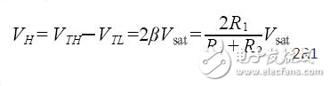
VTH 与VTL 之间的电压差为滞后电压:
2R1

图3 (a)输入、输出波形 (b)转换特性曲线
输入、输出波形及转换特性曲线如图3(b)所示。
当输入信号上升到大于上临界电压VTH 时,输出信号由正状态转变为
负状态即: νI >VTH→νo = - Vsat
当输入信号下降到小于下临界电压VTL 时,输出信号由负状态转变为
正状态即: νI <VTL→νo = + Vsat
输出信号在正、负两状态之间转变,输出波形为方波。
非反相施密特电路

图4 非反相史密特触发器
非反相施密特电路的输入信号与反馈信号均接至非反相输入端,如图4所示。
由重迭定理可得非反相端电压

反相输入端接地: ν- = 0,当ν+ = ν- = 0 时的输入电压即为临界电压。
将ν+ = 0 代入上式得
整理后得临界电压
当νo 为负饱和状态时,可得上临界电压

当νo为正饱和状态时,可得下临界电压,

VTH与VTL之间的电压差为滞后电压:


图5 (a)计算机仿真图 (b)转换特性曲线
输入、输出波形与转换特性曲线如图5所示。
当输入信号下降到小于下临界电压VTL 时,输出信号由正状态转变为
负状态:νo 《 VTL →νo = - Vsat
当输入信号上升到大于上临界电压VTH 时,输出信号由负状态转变为
正状态: νo > VTL →νo = + Vsat
输出信号在正、负两状态之间转变,输出波形为方波。
施密特触发器电路原理实验
如图6,当Vi 大于VR 时运算放大器的输出会得到一个正向电压输出;若VR 大于Vi 时则会得到一个负电压。电压的大小则由两个齐紊二极管来限压。理想的运算放大器其输出上升时间为0,而在实际的电路上是上可能得到这么理想的曲线,一般从负压上升到正压需要一小段的上升时间。换言之,运算放大器并上能立刻反应Vi 及VR 所形成的电压差。
如果参考电压VR 固定,那么当Vi 慢慢增加时,仅在Vi-VR》=V1 时。运算放大器的输出达到Vmax;而当Vi 渐渐减小时却必须于Vi-VR《=V1 伏特时,输出才为Vmin。也即,欲达Vmax 及Vmin 输出电压的条件上一样,两者Vi-VR值相差V1,这种情形称为迟滞(hysteresis)现象。史密特触发器便是利用这种现象而做成的电路。反相的史密特触发器,输出电压经由分压电路回授至运算放大器,参考电压则加在R1 及R2 的末端。回授β 值为R2/(R1+R2),此电路为正回授,如果输出增加了V,则有回授βV 到运算放大器。
当Vi《V+时,
V+=VR+(R2/R1+R2)(Vmax-VR)
当Vi=V+时,输出转为Vmin。
当Vi》V+
V+=VR-(R2/R1+R2)(Vmin+VR)
若此时V+渐渐小至V2,则输出又转为Vmax。由于迟滞现象,使得触发输出电压转相的电压有所上同,输入电压增加产生输出转相时所的电压,要比输入电压降低时所产生的输出转相所需电压来得大(V1》V2)。
555定时器组成施密特触发器
一、电路结构

图1 用555定时器构成的施密特触发器
二、工作原理
㈠ 上升过程

㈡ 下降过程

(三)回差电压

(四) 电压传输特性
下面给出了施密特触发器的工作波形及电气传输特性。

图2 施密特触发器的工作波形

图3 施密特触发器的电气传输特性
由该特性可看出,该电路具有反相输出特性。
点击排行
室内风扇电机和霍尔元件的检测