您现在的位置是:首页 > 电气技术 > 电气技术
磁通定理_磁通密度计算公式_变压器空载运行的磁通和感应电动势
来源:艾特贸易2017-08-28
简介表示磁场分布情况的物理量。通过磁场中某处的面元dS的磁通量d定义为该处磁感应强度的大小B与dS在垂直于B方向的投影dScos的乘积,即dFB =BdScos式中是面元的法线方向n与磁感应强度B的夹
表示磁场分布情况的物理量。通过磁场中某处的面元dS的磁通量dΦ定义为该处磁感应强度的大小B与dS在垂直于B方向的投影dScosθ的乘积,即dFB =BdScosθ式中θ是面元的法线方向n与磁感应强度B的夹角。磁通量是标量,θ《90°为正值,θ》90°为负值。通过任意闭合曲面的磁通量 ΦB 等于通过构成它的那些面元的磁通量的代数和,即对于闭合曲面,通常取它的外法线矢量(指向外部空间)为正。上篇中提到感应电动势的计算公式(感应电动势是什么_感应电动势公式_感应电动势的计算)这篇小编要讲磁通定理,看看变压器空载运行的磁通和感应电动势会发生什么?
什么是磁通
垂直穿过某一截面S的磁力线总数称为磁通。
磁感应强度B与垂直于磁场方向S的乘积,称为通过该面积的磁通,即φ=BS
磁通的单位为韦伯(Wb)
若磁场中各点的磁感应强度相等则为均匀磁场。
磁通定理
如果在磁场中任取一闭合面
,规定外法线为正,则穿出闭合面的磁通量为正,穿入闭合面的磁通量为负。由于磁感应线是无头无尾的闭合线,有几根磁感应线穿入闭合面,一定有同样数目的磁感应线穿出闭合面。所以,通过任意闭合面的磁通量恒等于零。这就是磁通定理,其数学表达式为

磁通定理与静电场的高斯定理在数学表达式上相似,但它们在本质上不同,分别反映磁场和静电场(从磁感应线和电力线)在本质上的不同。上式可以从毕 - 萨定律出发加以严格证明。
磁通密度计算公式

定义:在均匀磁场中,磁感应强度B和垂直于磁场方向的某一面积S的乘积,称为通过这个面积的磁通量,用符号“Φ”表示。
因此可得知磁通量计算公式为:
![]()
上述公式中所代表的的具体含义分别是:
B:表示磁感应强度,单位(T)
S:表示与磁力线方向垂直的面积,单位(m2)
Φ:表示穿过S面积的磁通,单位(Wb)
磁通量单位:磁通量标示符Φ的国际单位制单位是韦伯,常以符号Wb表示。在电力工程计算中,也常采用麦克斯韦作单位,简称“麦”,韦伯和麦克斯韦之间的换算关系为:
1麦克斯韦(Mx)= 1 高斯(Gs)&TImes;厘米2 = 10-8韦伯(Wb)
磁通密度
如果吧磁感应强度B的大小和磁通量Φ与磁力线抽象的联系起来,则可认为磁通Φ在数值上就等于垂直通过该单位截面的磁力线条数。由磁通量计算公式Φ=BS得:
![]()
这样,磁感应强度B的大小就等于通过单位面积上的磁力线条数。因此,磁感应强度大小又称为磁通密度。由此得出一个结论:磁通密度是磁感应强度的一个别名,它表示垂直穿过单位面积的磁力线的多少。(注意笔者上面将Φ和B比作磁力线的描述中加粗的字体含义区别)
由此可知,B和Φ是从不同角度描述磁场性质的物理量。磁感应强度B是描述磁场中某点的磁场大小,而磁通量Φ是表示磁场中某一范围内的磁场总体情况的物理量。磁感应强度B是矢量(有大小和方向的量叫矢量),而Φ是标量(只有大小而无方向的量叫标量)。在分析电磁现象时,应视具体情况而选用合适的量。
变压器空载运行的磁通和感应电动势
空载运行:是指变压器一次侧绕组接到额定电压、额定频率的电源上,二次侧绕组开路时的运行状态。
物理现象:
磁动势和磁通的情况:

主磁通和漏磁通的区别:
1、由于铁磁材料有饱和现象,所以主磁路的磁阻不是常数,主磁通与建立它的电流之间呈非线性关系。而漏磁通的磁路大部分是非铁磁材料组成,所以漏磁路的磁阻基本上是常数,漏磁通与产生它的电流呈线性关系。
2、主磁通在一次侧、二次侧绕组中均感应电动势,当二次侧接上负载时便有电功率向负载输出,故主磁通起传递能量的作用。而漏磁通仅在一次侧绕组中感应电动势,不能传递能量,仅起压降作用。因此,在分析变压器和交流电机时常将主磁通和漏磁通分开处理。
正方向的规定
为什么要规定正方向?
1、根据电路的定律、定理,列出物理量间相互关系的代数表达式;
2、根据计算结果确定实际方向:
若计算结果为正,则实际方向与参考方向一致;
若计算结果为负,则实际方向与参考方向相反。
从理论上讲,正方向可以任意选择,因各物理量的变化规律是一定的,并不依正方向的选择不同而改变。
正方向规定不同,列出的电磁方程式和绘制的相量图也不同。在电机方向的学科中通常按电工惯例来规定正方向。
在负载支路,电流的正方向与电压降的正方向一致,而在电源支路,电流的正方向与电动势的正方向一致;
磁通的正方向与产生它的电流的正方向符合右手螺旋定则;
感应电动势的正方向与产生它的磁通的正方向符合右手螺旋定则;
在一次侧,u1由首端指向末端,i1(i0)从首端流入。当u1与i1同时为正或同时为负时,表示电功率从一次侧输入,称为电动机惯例。在二次侧,u2和i2的正方向是由e2的正方向决定的,即i2沿e2的正方向流出。当u2和i2同时为正或同时为负时,电功率从二次侧输出,称为发电机惯例。

图 3.1 变压器的空载运行
空载时的电磁关系
电动势与磁通的关系:
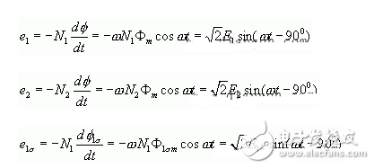
假定主磁通按正弦规律变化,即Φ=Φmsinωt
根据电磁感应定律和对正方向规定,一、二次绕组中感应电动势的瞬时值为 :

式中:

点击排行
室内风扇电机和霍尔元件的检测