您现在的位置是:首页 > 电气技术 > 电气技术
有功功率测量方法
来源:艾特贸易2017-12-10
简介1.正弦波有功功率算法 这种有功功率计算公式P=UIcosφ是在正弦电路技术上推导出来的,因此,只适用于正弦电路的有功功率测量。这种测量方式通过有效值测量电路获取电压、电流值,
1.正弦波有功功率算法

这种有功功率计算公式P=UIcosφ是在正弦电路技术上推导出来的,因此,只适用于正弦电路的有功功率测量。这种测量方式通过有效值测量电路获取电压、电流值,通过相位测量电路测量电压、电流的相位差,再根据正弦电路有功功率计算公式P=UIcosφ计算获得有功功率。
由于相位测量电路通常采用过零检测法,而交流电零点附近不可避免会有一定的毛刺,因此,相位测量精度较低。在低功率因数下的功率测量准确度亦较低,必须采用适用于低功率因数工况下的测试仪表才能有效保证有功功率测量准确度。
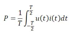
2.通用有功功率算法

通用有功功率计算定义为一个周期内瞬时功率积分的平均值。采用模拟乘法器获取电压、电流的乘积,得到瞬时功率,再用固定的时间对瞬时功率进行积分,即可获得瞬时功率的平均值,也就是有功功率。该方法适用任意波形电量的有功功率测量。
点击排行
室内风扇电机和霍尔元件的检测