您现在的位置是:首页 > 电气技术 > 电气技术
智能电力电子模块(IPM)的选用
来源:艾特贸易2018-04-21
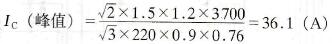
简介为了选用合适的 IPM 用于变频器,要根据电动机功率计算其最大峰值电流 IC ,再参考该型号元件、过流保护 (OC) 动作数值来选用。 电动机最大峰值电流可由下式计算: (3-4) 式中, P 为
为了选用合适的IPM用于变频器,要根据电动机功率计算其最大峰值电流IC,再参考该型号元件、过流保护(OC)动作数值来选用。
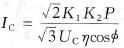
电动机最大峰值电流可由下式计算:
(3-4)
式中,P为电动机功率,W;K1为变频器电流最大过载倍数;K2为电流纹波系数;η为变频器效率;cosΦ为功率因数;UC为交流线电压,V。
例如,电源为220 V交流,电动机功率为3.7kW,K1=150%,K2=120%,η=0.9,cosΦ=0.76,则

表3-6中可选用IC(峰值)为36A,50 A/600 VIPM整定最小过流(OC)动作值应满足65 A。
表3-6 220V电动机变频器用IPM选用表

表3-7为交流400 V电动机用变频器IPM选用表,IPM的耐压为1200 V。
表3-7 交流400 V电动机用变频器IPM选用表

(作者稿费要求:需要高清无水印文章的读者3元每篇,请联系客服,谢谢!在线客服:
)
点击排行
室内风扇电机和霍尔元件的检测