您现在的位置是:首页 > 电气技术 > 电气技术
CuK升降压斩波电路的工作原理
来源:艾特贸易2018-05-11
简介CuK 升降压斩波电路如图 2-11 所示。 图 2-11 CuK 升降压斩波电路 电路工作原理: 在图 2-11 电路中,当三极管 VT 基极无控制脉冲时, VT 关断,电源 E 通过 L1 、 VD 对电容 C 充得左正右负的
CuK升降压斩波电路如图2-11所示。

图2-11 CuK升降压斩波电路
电路工作原理:
在图2-11电路中,当三极管VT基极无控制脉冲时,VT关断,电源E通过L1、VD对电容C充得左正右负的电压。当VT基极加有控制脉冲并且高电平来时,VT导通,电路会出现两路电流,一路电流途径是:电源E正极→L1→VT集射极→E负极,有电流流过L1,L1储存能量;另一路电流途径是:C左正→VT→负载RL→L2→C右负,有电流流过L2,L2储存能量;当VT基极的控制脉冲为低电平时,VT关断,电感L1产生左负右正电动势,它与电源E叠加经VD对C充电,在C上充得左正右负的电动势,另外由于VT关断使L2流过的电流突然减小,马上产生左正右负的电动势,该电动势形成电流经VD流过负载RL。
CuK升降压斩波电路与普通升降压电路一样,在负载上产生的都是负极性电压,前者的优点是流过负载的电流是连续的,即在VT导通关断期间负载都有电流通过。
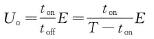
对于图2-11所示的CuK升降压斩波电路,在一个周期T内,如果控制脉冲Ub的高电平持续时间为ton,低电平持续时间为toff,那么Uo电压的平均值有下面的关系

在上式中,若ton/toff>1,Uo>E,电路为升压斩波;若ton/toff<1,Uo<E,电路为降压斩波。
(作者稿费要求:需要高清无水印文章的读者3元每篇,请联系客服,谢谢!在线客服:
)
点击排行
室内风扇电机和霍尔元件的检测