您现在的位置是:首页 > 电气技术 > 电气技术
何谓电容器的串联,怎样计算等效电容值
来源:艾特贸易2018-05-28
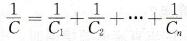
简介把几个电容器头尾依次连接起来,叫做电容器的串联。串联电容器的两端总电压,等于各个电容器上的电压之和。其总电容值为 式中 C- 串联电容器的总电容; C1 , C2 ,…, Cn- 各电容
把几个电容器头尾依次连接起来,叫做电容器的串联。串联电容器的两端总电压,等于各个电容器上的电压之和。其总电容值为

式中 C-串联电容器的总电容;
C1,C2,…,Cn-各电容器电容。
[例]求图1所示电路的等效电容及端口电压。
![[例]的图 [例]的图](https://www.gaoxiancheng.com/pic/ianon/141538151.jpg)
图1 [例]的图
解:等效电容
1,则C=0.125(μF)
端口电压U=3+2-8=-3(V)
点击排行
室内风扇电机和霍尔元件的检测