您现在的位置是:首页 > 电气技术 > 电气技术
共发射极放大电路输入电阻和输出电阻的估算
来源:艾特贸易2018-08-13
简介放大器的输入电阻、输出电阻可以用交流通路来估算,如图 2-44 所示。 图 2-44 交流通路 (1) 输入电阻的估算。 交流信号电压 ui 加在三极管的输入端基极和发射极之间时,基极将产生相
放大器的输入电阻、输出电阻可以用交流通路来估算,如图2-44所示。

图2-44 交流通路
(1)输入电阻的估算。
交流信号电压ui加在三极管的输入端基极和发射极之间时,基极将产生相应的变化电流ib,这反映了三极管本身具有一定的输入电阻rbe。而从放大器的输入端看进去时,放大器的输入电阻Ri就是RB和rbe的并联值,即:
Ri=RB//rbe
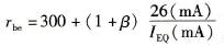
对于小功率三极管,在共发射极连接并工作在低频小信号时,rbe可用经验公式求出:

式中 IEQ-静态发射极电流(也可用ICQ代替);
β-三极管电流放大系数。
一般IEQ为几毫安时,rbe只有1kΩ左右,而RB常为几十至几百千欧,即RB>>rbe,所以放大器的输入电阻可近似为:Ri≈rbe。
(2)输出电阻的估算。

图2-45 放大器的输出电阻
图2-45b为放大器输出回路的交流通路。从输出端看出,放大器可以看作为一个具有内阻R0和电动势u0的等效电路,如图2-45a所示。这个R0就是放大器的输出电阻。R0等于三极管的集一射极等效电阻rce和集电极电阻Rc的并联值,即
R0≈rce//RC
在放大器中,三极管工作在放大区,集一射极等效电阻rce很大,一般为几十千欧至几百千欧,而RC一般是几千欧,即rce>>RC,所以放大器的输出电阻可近似为:
R0≈RC
(作者稿费要求:需要高清无水印文章的读者3元每篇,请联系客服,谢谢!在线客服:
)
点击排行
室内风扇电机和霍尔元件的检测