您现在的位置是:首页 > 电气技术 > 电气技术
单相桥式整流电路
来源:艾特贸易2018-08-13
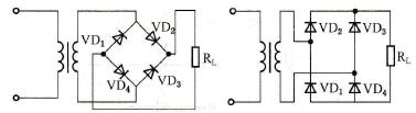
简介单相桥式整流电路是由四个二极管接成电桥的形式构成的。如图 2 -55 所示是单相桥式整流电路的 2 种不同画法。图 2 -56 是单相桥式整流电路的电压与电流波形。 图 2-55 单相桥式整流电
单相桥式整流电路是由四个二极管接成电桥的形式构成的。如图2 -55所示是单相桥式整流电路的2种不同画法。图2 -56是单相桥式整流电路的电压与电流波形。

图2-55 单相桥式整流电路

图2-56 单相桥式整流电路的电压与电流波形
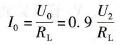
可见,单相桥式整流电路的整流电压平均值U0比半波整流时增加了一倍,即
U0 =2×0.45U2 =0.9U2
相应的,负载中流过的电流平均值也增加了一倍,即:

二极管截止时承受的最高反向电压是电源电压的最大值,即:
UBDM =√2U2
桥式整流电路与半波整流电路相比,虽然需用的整流二极管在数量上增多些,但是变压器利用率提高,输出的直流电压值增高,且脉冲减小,因而得到广泛应用。
(作者稿费要求:需要高清无水印文章的读者3元每篇,请联系客服,谢谢!在线客服:
)
点击排行
室内风扇电机和霍尔元件的检测