您现在的位置是:首页 > 电气技术 > 电气技术
纯电感正弦交流电路
来源:艾特贸易2018-09-28
简介在交流电路中,如果只有电感线圈做负载,且线圈的电阻和分布电容均可忽略不计,那么这样的电路就叫做纯电感交流电路,如图 2-18 所示。 图 2-18 纯电感电路和波形图及相量图 1) 电
在交流电路中,如果只有电感线圈做负载,且线圈的电阻和分布电容均可忽略不计,那么这样的电路就叫做纯电感交流电路,如图2-18所示。

图2-18 纯电感电路和波形图及相量图
1)电流与电压的关系
在电感线圈两端加上交流电压uL,线圈中必然产生交流电流i。由于这一电流时刻都在变化,因而线圈内将产生感应电动势。
根据分析可知:在纯电感电路中,电感两端的电压超前电流90°,或者说电流滞后电压90°。设流过电感的正弦电流的初相为零,则电流、电压的瞬时值表达式为:

电流、电压的相量图如图2-18c所示。
可以证明,电流与电压最大值之间的关系为:
ULm=ωLIm
上式两边同时除以√2,可得到电流和电压有效值之间的关系为:

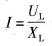
若将ωL用符号XL表示,则可以得到:

这说明在纯电感正弦交流电路中,电流与电压的最大值及有效值之间也符合欧姆定律。
2)感抗
由上式可以看出,当电压一定,若XL增大,电路中的电流就减小;反之,若XL减小,电流就增大。这表明XL具有阻碍电流流过电感线圈的性质,所以XL称为电感元件的电抗,简称感抗。感抗的计算公式为:
XL=ωL=2πfL
感抗的单位和电阻一样,也是“Ω”。
电感线圈具有“通直阻交”的性质,在电功和电子技术中有广泛的应用,例如高频扼流圈就是利用感抗随频率增高而增大的性质制成的。
3)电路的功率
(1)瞬时功率。
纯电感正弦交流电路中的瞬时功率等于电流瞬时值与电压瞬时值的乘积,即:

电感元件的瞬时功率p也是按正弦规律变化的,其频率为电流频率的2倍,其波形如图2-19所示。由图可见,在电流变化一个周期内,瞬时功率变化两周,即两次为正,两次为负,数值相等,平均功率为零,也就是说,纯电感元件在交流电路中不消耗电能。

图2-19 纯电感参数波形
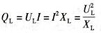
(2)无功功率。
电感线圈不消耗电源的能量,但电感元件与电源之间在不断地进行周期性的能量交换。
为了反映电感元件与电源之间进行能量交换的规模,我们把瞬时功率的最大值叫做电感元件的无功功率,用符号QL表示,其数学表达式为:

无功功率的单位为var和kvar。
无功功率反映的是储能元件与外界交换能量的规模。因此,“无功”的含义是“交换”,而不是消耗,是相对“有功”而言的,绝不能理解为“无用”。
(作者稿费要求:需要高清无水印文章的读者3元每篇,请联系客服,谢谢!在线客服:
)
点击排行
室内风扇电机和霍尔元件的检测