您现在的位置是:首页 > 电气技术 > 电气技术
直流电动机反接制动线路是怎样的
来源:艾特贸易2018-09-28
简介直流电动机反接制动,就是在直流电动机运转时保持励磁不变,突然将电枢电源反接,由于反接后的电源电压极性和电动机的反电势极性相同,在电枢回路中产生较大的反向制动电流,
直流电动机反接制动,就是在直流电动机运转时保持励磁不变,突然将电枢电源反接,由于反接后的电源电压极性和电动机的反电势极性相同,在电枢回路中产生较大的反向制动电流,从而使电动机迅速制动停转。直流电动机反接制动的特点与异步电动机反接制动相似。制动开始时直流电动机电枢上相当于施加2倍额定电压,为防止初始制动电流过大,需串入较大阻值的电阻,因此能耗较大。制动到电动机转速为零时,应切断电源,否则有自动反向起动的可能。
反接制动适用于经常正反转的机械,如轧钢车间辊道及其他辅助机械。一般串励电动机多用反接制动。
直流电动机反接制动线路如图54所示。当反接制动时,正转接触器触点KM1打开,反接制动接触器触点KM3打开,反转接触器触点KM2闭合。

图54 直流电动机反接制动线路
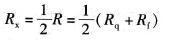
反接继电器的整定:反接继电器KA,当反接制动开始时,将制动电阻Rf接入电路;而当制动到电动机转速接近于零时,将Rf短接,如图55所示。继电器KA线圈的连接点A,由电阻Rx的阻值来决定。


图55 反接继电器整定线路
KA继电器的吸上电压,一般整定在(0.4~0.45)Ue(Ue为电动机电枢的额定电压)。
反接制动电阻的计算:

式中:Rf-反接制动电阻(Ω);
Izmax-允许最大的反接制动电流(A),取决于电动机允许的
电流过载倍数,一般取Izmax=(2~2.5)Ie;
Ie-电动机的额定电流(A);
Rq-起动电阻(Ω);
Ra-电动机电枢电阻(Ω)。
(作者稿费要求:需要高清无水印文章的读者3元每篇,请联系客服,谢谢!在线客服:
)
点击排行
室内风扇电机和霍尔元件的检测