您现在的位置是:首页 > 电气技术 > 电气技术
电容式位移传感器
来源:艾特贸易2019-09-01
简介电容式位移传感器是以电容器为敏感元件,将机械位移量转换为电容器电容量变化的一种传感器。其特点是结构简单、分辨率高、工作可靠、动态响应好,可实现非接触测量,能在恶劣
电容式位移传感器是以电容器为敏感元件,将机械位移量转换为电容器电容量变化的一种传感器。其特点是结构简单、分辨率高、工作可靠、动态响应好,可实现非接触测量,能在恶劣环境条件下工作,主要用于位移、液位等方面的测量。
电容式传感器可由任何类型的电容器作为传感器,但最常用的是由平行极板构成的以空气为介质的电容器,有时也采用由两同轴圆筒或其他形状平行面组成的电容器。因此,电容式传感器的工作原理可用平行板电容传感器来说明,如图2.2所示。当不考虑边缘电场影响时,其电容C为

式中,S为极板的遮盖面积,单位为m²;ε为极板间介质的介电常数;δ为两平行极板间的距离,单位为m。

图2 2 平行板电容传感器
由式(2.1)可知,平行板电容器的电容量C与电容器的S、ε、δ三个结构参数有关,只要改变这三个参数中的任何一个,就可以改变电容器的电容量。因此,电容式传感器可分为变间距型(δ变化)、变面积型(S变化)、变介电系数型(ε变化)三种。
当被测量的变化使电容器中任何一个参数产生变化而引起电容变化时,只要通过一定的测量电路将电容变化转变成电压、电流、频率等信号输出,根据该信号的大小,就可以测定运动物体位移的大小。通过改变电容器的不同参数,可以制成三种不同类型的电容式传感器。
(1)变极板间距型 一般用于测量微小的线位移(可小至0. 01μm),其灵敏度较高,易于实现非接触测量,因而应用较为普遍。
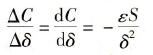
由式(2.1)可知,若平行极板的间距δ发生变化(如增大),由初始距离δ0变化到δ0+△δ,电容量也发生相应的变化(变小),如图2.3所示,由式(2.1)对δ求导得
(2.2)
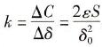
通常我们也将k=△C/△δ称作电容传感器的灵敏度,可以看出,灵敏度k与δ2成反比,极距越小灵敏度越高。显然,δ2将引起非线性误差,为了减小这一误差,通常规定传感器只能在较小的极距变化范围内工作(即测量范围小),以便获得近似的线性关系,一般取极距的变化范围为△δ/δ0≈0.1,在实际使用变间距电容式传感器时,为了提高其灵敏度及线性工作范围,减小各种外界干扰,在结构上常采用差动配置方式,其结构如图2.4所示,中间一片极板为动片,两边的极板是定片。当动片受被测量作用发生移动距离△δ后,上下两对极板间距离分别为δ0+△δ和δ0 - △δ,这样造成差动平行极板电容器的电容量变化为
(2.3)
当极板间距△δ变化很小时,可以近似地认为该传感器的灵敏度为
。可见,这种差动电容器与适当的测量电路配合不仅可以改善系统输出的非线性,提高线性范围,而且灵敏度也比简单的电容器提高了一倍。

图2.3 C-δ特性曲线

图2.4 差动变极板间距电容式传感器
(2)变极板工作面积型 变极板工作面积型电容传感器可用于测量线位移及角位移(适用于较大的直线位移及角位移)。图2.5所示为两种变面积型传感器的测量原理图。当平行板受被测量作用发生移动时,两极板间面积发生变化,相应电容量也会发生变化,其灵敏度为
(2.4)
由式(2.4)可知,变面积型的电容传感器的输出特性是线性的。

图2.5 变极板面积型电容传感器
除了有平行极板型的电容式传感器外,还有圆筒型,后者的结构更紧凑并有利于消除变面积过程中因极板间距离6的变动而引入的误差。同变极板间距的差动式电容传感器一样,在变极板工作面积的电容式传感器中也常采用差动工作方式,其结构形式如图2.6所示,其中图2.6(a)为平板电容,图2.6(b)为圆筒电容。

图2.6 差动变面积型电容传感器
(3)变介质型 各种介质的介电常数不同,若两极板间的介质发生变化,则电容量也会发生改变。这种电容式传感器常用于检测容器中液面高度、片状材料厚度等。图2.7为电容液面计结构示意图,在被测介质中放入两个同心圆柱状极板1和2,容器内介质的介电常数为ε1,介质上气体的介电常数为ε2。当介质浸没电容极板一定高度时,总电容量为气体介质与液体介质电容量之和,通过这种电容量的变化,可以判别电容器内液位高度。图2.8是一种用于测量氢液高度的介质变化型电容传感器。

图2.7 电容液面计结构示意图
1-内圆筒;2-外圆筒

图2.8 电容式氢液高度传感器
点击排行
室内风扇电机和霍尔元件的检测