您现在的位置是:首页 > 电气技术 > 电气技术
感应同步器的工作方式
来源:艾特贸易2017-03-17
简介同旋转变压器工作方式相似,根据滑尺励磁绕组供电方式的不同,感应同步器的工作状态可分为相位工作方式和幅值工作方式两种情况。 ①相位工作方式(鉴相工作法) 给滑尺的正弦
同旋转变压器工作方式相似,根据滑尺励磁绕组供电方式的不同,感应同步器的工作状态可分为相位工作方式和幅值工作方式两种情况。
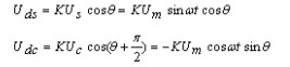
①相位工作方式(鉴相工作法) 给滑尺的正弦绕组和余弦绕组分别通以同频、同幅但相位相差 的交流励磁电压,即:

由于定尺绕组的感应电压滞后滑尺绕组的励磁电压90?,当滑尺移动时,定尺绕组中产生的感应电压为:

式中, 为耦合系数; 为滑尺绕组相对于定尺绕组的空间相位角,
其中 为滑尺相对定尺的位移量, 为节距。
应用叠加原理,定尺绕组上的感应电压为

由上述分析可知,在相位工作方式中,感应输出电压是一个幅值不变的交流电压。由于耦合系数K 、励磁电压幅值um以及频率ω均为常数,所以定尺感应电压ud只随空间相位角θ的变化而变化,即定尺感应电压ud与滑尺的位移值×有严格的对应关系。通过鉴别定尺感应电压相位,即可测得滑尺和定尺的相对位移量。
②幅值工作方式(鉴幅工作方式) 给滑尺的正弦绕组和余弦绕组分别通以同频率、同相位但幅值不同的交流励磁电压,即:

其中,
, 为给定的电气角。
则在定尺绕组上产生的感应电压为:

点击排行
室内风扇电机和霍尔元件的检测