电气技术
电气技术
-
怎样正确连接与安装三相三元件电能表检测线路的接线
电气技术
三相三元件电能表用于三相四线制供电电路中,图 7-20 与图 7-21 所示为其接线图和安装图。 图 7-20 三相三元件电能表接线图 图 7-21 三相三元件电能表安装图 (作者稿费要求:需要高清...
阅读更多 -
电能表工作时发出较大响声怎么办
电气技术1 .电磁元件松动 如果发现故障为电能表的电磁元件松动引起的,则应对松动的元件重新进行固定。 2 .转动部件上下轴承缺油 如果发现故障为电能表的转动部件上下轴承缺油引起的,...
阅读更多 -
怎样正确连接与安装3只单相电能表检测线路的接线
电气技术
当然也可用 3 只单相电能表来测量各相消耗的电能,如图 7-22 所示,三只表的读数相加即是消耗的总电能。其安装方法如图 7-23 所示。 图 7-22 3 只单相电能表在三相四线制线路中的接线...
阅读更多 -
怎样判断电能表的启动功率是否良好
电气技术1 .计算公式 电能表启动功率计算公式如下 PQ= Uxg·IQ=Uxg×0.005Ib 式中 Uxg- 使用的交流电源电压,家用电能表为 220 V 交流电压; IQ- 流过电能表的电流; Ib- 电能表的计算负载的基数电流值...
阅读更多 -
怎样计算加接电流互感器式电能表检测电路中计量的电能
电气技术无论是哪一种接线方式的电能表,如果电能表是经电流互感器接入(低压配电系统中一般不用电压互感器),则两次读数期间所测量的电能为 W=K1·Wo 式中 W- 两次读数期间所测量的电能...
阅读更多 -
怎样采用有功电能表配合秒表数测量瞬间负荷
电气技术根据用秒表测量的数据,可由以下公式计算出瞬间负荷: P=3600×R·KCT·KPT/N·T 式中 P- 有功功率,单位为 kw ; R- 用秒表在一定时间内测得的有功电度表圆盘的转数,通常测量 10 ~ 20 r (...
阅读更多 -
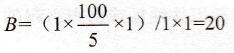
怎样得到电能表经互感器接入线路后的实用倍率
电气技术
1 .计算公式 电能表本身的倍率又称为本身乘数。通常将其标注在铭牌上,如果铭牌上没有标注,则倍率为 1 。如果电能表经互感器接入线路来计量电能,则就应求出电能表的的实用倍...
阅读更多 -
怎样采用有功与无功电能表测量某一段时间的平均功率因数
电气技术
采用有功与无功电能表在某一段时间(例如一个星期等)读得数据(表底差)后,再按下述公式即可计算出平均功率因数 式中 P- 有功电量; Q- 无功电量。...
阅读更多 -
电能表转速偏快怎么办
电气技术1 .故障原因 电能表内的永久磁铁磁性减弱,对此可以对永久磁铁进行充磁或重换新的磁铁。...
阅读更多 -
怎样理解兆欧表的结构特点
电气技术
兆欧表的典型外形示意图如图 8-1 所示,兆欧表的主要组成部分是一个磁电式比率计和一只作为测量电源的手摇高压直流发电机。与兆欧表针相连的有两个线圈,一个同表内的附加电阻...
阅读更多
点击排行
室内风扇电机和霍尔元件的检测