电气技术
电气技术
-
电线电缆载流量表_电线电缆载流量对照表
电气技术
铜芯电线电缆载流量标准译自国际 电工 委员会建筑物电气装置第五部分的第523节载流量,标准号为IEC60364-5-5231983年。改革开放以后,公共事业和住宅建设发展迅速,家用电气设备和其...
阅读更多 -
两根电线正确接法图片_两根电线对接法图解
电气技术
(1)单股铜导线的直接连接。小截面单股铜导线连接方法如图1所示,先将两导线的芯线线头作X形交叉,再将它们相互缠绕2~3圈后扳直两线头,然后将每个线头在另一芯线上紧贴密绕...
阅读更多 -
功率因数符号和计算公式
电气技术
一功率因数概述 自从交流 电机 取得应用至今日,功率因数和位移因数在很多场合被混淆。很多人都把功率因数误认为就是cos,并用cos作为功率因数符号。并以此为基础,得出有功功率...
阅读更多 -
五星级酒店电工面试技巧
五星级酒店电工面试技巧 在五星级酒店只管强电,这边分的很清楚,有三个大级,机修给排水装饰为一组,空调一个组,强弱电一个组,自己管自己,基本分的很清楚,不是所有酒店都...
阅读更多 -
过压欠压断零保护器使用误区
过压欠压断零保护器使用误区 电器使用时最忌电网电压过高过低;电器都有一个额定电压,如果超出这个电压就超出了电器的绝缘强度和耐压值,电器会因此击穿而烧坏甚至起火。 电压过...
阅读更多 -
电力、电子和电器之间的区别
电力、电子和电器之间的区别 从学科划分的角度讲,电力、电子和电器都属于电气工程学科。电气工程一词来源于日本,其中的气来源于西方外文翻译(西方工业之初,动力机械均由蒸...
阅读更多 -
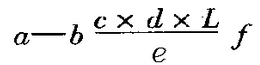
电路系统图标注方式大全
电气技术
电路系统图标注方式大全 照明灯具的标注 a 灯具数量 b 灯具类型 c 灯具内灯泡(灯管)数量 d 每个灯泡(灯管)的功率 e 灯具安装高度 f 安装方式代号 L 光源种类 导线的标注 a 线路编...
阅读更多 -
电工最容易犯的错误你有吗
电工最容易犯的错误你有吗 一、工作完成后,工具及材料未收回,不是少了钳子就是丢了螺丝刀。 二、换接触器时,电压等级没注意。交流380V的换成220V的。或者拆除时没做记号,接线...
阅读更多 -
住宅电路设计原则
电气技术
住宅电路设计原则 1、照明回路、插座回路分开,空调单独设回路,大功率电器一台设备设置一个回路。 2、1800mm以下的插座采用安全型插座。 3、卫生间应设置漏电断路器,必须采用防...
阅读更多 -
什么是电源稳压器?电源稳压器的特征和功能
什么是电源稳压器?电源稳压器的特征和功能 一、什么是电源稳压器 电源稳定器是一种用于稳定线路电压的电子装置。当电网电压不稳定或负载变化时,采样稳压器控制电路发出信号驱...
阅读更多
点击排行
室内风扇电机和霍尔元件的检测