电气技术
电气技术
-
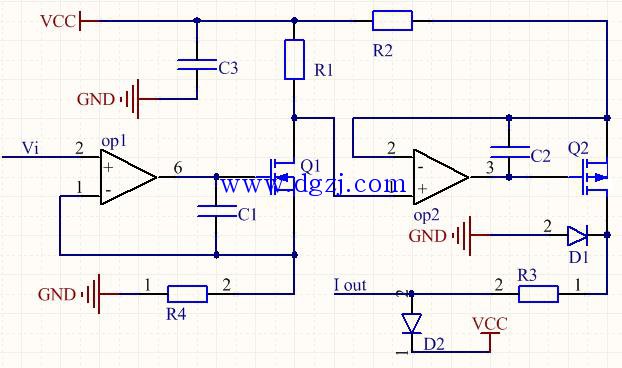
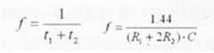
压控电流源VCCS工作原理设计和分析
电气技术
压控电流源VCCS工作原理设计和分析 对于压控电流源,在做电子硬件的工作中,时常都会用到,但是有时候却不懂得它的工作原理,遇到的时候,总是茫茫然。电工之家小编就在这里分...
阅读更多 -
12V电源防护设计电路图分析
电气技术
12V电源防护设计电路图分析 本12V直流电源端口浪涌防护方案可分为两级保护电路,第一级采用一个GDT陶瓷气体放电管、两个电感,第二级采用一个TVS组成的浪涌防护方案。 第一级保护...
阅读更多 -
自恢复保险丝怎样和晶闸管配合使用
电气技术
自恢复保险丝怎样和晶闸管配合使用 自恢复保险丝的工作原理是协同电阻工作于过压保护器件之间的。因为自恢复保险丝会在浪涌的作用,其电阻值是较为提高些许,这样子的话,对浪...
阅读更多 -
74ls48d怎么控制显示器实现30秒倒计时
电气技术
74ls48d怎么控制显示器实现30秒倒计时 本设计采用555作为振荡电路,由74LSl92、74LS48和七段共阴LED数码管构成计时电路,具有计时器直接复位、启动、暂停、连续计时和报警功能。该电路...
阅读更多 -
模拟电路和数字电路的本质区别
电气技术
模拟电路和数字电路的本质区别 一、模拟电路与数字电路的定义及特点: 模拟电路(电子电路) 模拟信号 处理模拟信号的电子电路。模拟二字主要指电压(或电流)对于真实信号成比例的...
阅读更多 -
单片开关电源PCB版图的设计
电气技术
单片开关电源PCB版图的设计 1 印制线路板的一般设计步骤 (1) 绘制原理图; (2) 元件库的创建; (3) 建立原理图与印制板上元件的网络连接关系; (4) 布线和布局; (5) 创建...
阅读更多 -
rs485接口基础知识讲解
rs485接口基础知识讲解 一、什么是RS-485接口?它比RS-232-C接口相比有何特点? 答:由于RS-232-C接口标准出现较早,难免有不足之处,主要有以下四点: (1)接口的信号电平值较高,易损...
阅读更多 -
单片开关电源PCB版图电磁兼容分析
电气技术
单片开关电源PCB版图的电磁兼容分析 1 电磁兼容的概述 电磁兼容(EMC)的定义也就是指一个产品和其他产品共存于特定的电磁环境中,而不会因引起其他产品或者自身性能下降或损坏的...
阅读更多 -
RS232和RS485接口定义说明
电气技术
RS232和RS485接口定义说明 RS232(DB9)接口定义: 1 DCD 载波检测 2 RXD 接收数据 3 TXD 发送数据 4 DTR 数据终端准备好 5 SG 信号地 6 DSR 数据准备好 7 RTS 请求发送 8 CTS 清除发送 9 RI 振铃提示 接...
阅读更多 -
模拟电路和数字电路基础知识总结
模拟电路和数字电路基础知识总结 1、HC为COMS电平,HCT为TTL电平 2、LS输入开路为高电平,HC输入不允许开路,HC一般都要求有上下拉电阻来确定输入端无效时的电平。LS却没有这个要求...
阅读更多
点击排行
室内风扇电机和霍尔元件的检测