您现在的位置是:首页 > 电路图 > 开关电源电路 > 开关电源电路
MAX840/MAX843构成输出电压连续可调的应用电路
转载来源:电子技术应用-AET chinaaet.com 电子发烧友 elecfans.com2017-03-23
简介由MAX840构成的输出电压连续可调的稳压器应用电路如图(a)所示。该电路输出电压与外加分压器中的电阻Rl和R2之间的关系为: 。由MAX843/MAX844构成的输出电压连续可调的稳压器应用电路
由MAX840构成的输出电压连续可调的稳压器应用电路如图(a)所示。该电路输出电压与外加分压器中的电阻Rl和R2之间的关系为:
。
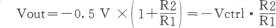
由MAX843/MAX844构成的输出电压连续可调的稳压器应用电路如图(b)所示。该电路输出电压与外加分压器中的电阻Rl和R2之间的关系为:
。式中,Vctrl为外加分压器所接的正的控制电压。
