您现在的位置是:首页 > PLC技术 > PLC技术
闭环控制的主要性能指标
来源:艾特贸易2017-12-20
简介由于给定输入信号或扰动输入信号的变化,系统的输出量达到稳态值之前的过程称为过渡过程或动态过程。系统的动态性能常用阶跃响应(阶跃输入时输出量的变化)曲线的参数来描述
由于给定输入信号或扰动输入信号的变化,系统的输出量达到稳态值之前的过程称为过渡过程或动态过程。系统的动态性能常用阶跃响应(阶跃输入时输出量的变化)曲线的参数来描述。阶跃输入信号在t=0之前为0,t>0时为某一恒定值。
系统输出量第一次达到稳态值的时间tr称为上升时间(见图10-3),上升时间反映了系统在响应初期的快速性。

图10-3 被控对象的阶跃响应曲线
阶跃响应曲线进入并停留在稳态值c(∞)上下±5%(或2%)的误差带内的时间ts称为调节时间,到达调节时间表示过渡过程已基本结束。
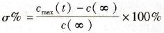
设动态过程中输出量的最大值为cmax(t),如果它大于输出量的稳态值c(∞),定义超调量为

超调量反映了系统的相对稳定性,它越小动态稳定性越好,一般希望超调量小于10%。
系统的稳态误差是进入稳态后输出量的期望值与实际值之差,它反映了系统的稳态精度。
(部分原创文章应编辑稿费需求,每篇需要收取2元的稿费,如需查看全文请联系客服索取,谢谢理解!在线客服:
)
点击排行
PLC编程的基本规则
