PLC技术
PLC技术
-
PLC模拟量闭环控制系统中正作用和反作用调节
PLC技术
PID 的正作用和反作用是指 PID 的输出值与反馈值之间的关系。在开环状态下, PID 输出量控制的执行机构的输出增加使反馈值(过程变量)增大的是正作用;使反馈值减小的是反作用。...
阅读更多 -
KNX/EIB系统概述
PLC技术
Ko nNEX (KNX) 是一种多主站网络,用于家庭和楼宇控制系统的标准化网络通信。它由以下几部分组成: · EIB ( EuropeanInstallation Bus ,欧洲安装总线)。 · EHS ( EuropeanHome Systems ,欧洲家庭...
阅读更多 -
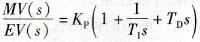
PID控制器在连续控制系统中的表达式
PLC技术
PID 控制器的传递函数为 模拟量 PID 控制器的输出表达式为 (10-1) 式中,控制器的输入量(误差信号)为 ev(t)=sp(t)-pv(t) sp(t) 为设定值, pv(t) 为过程变量(反馈值); mv(t) 是控制器的输出...
阅读更多 -
KNX/EIB系统的组成
PLC技术
KNX/EIB 系统(见图 9-34 )由以下组件组成: 图 9-34 KNX 网络 ·传感器(例如温度传感器和风速表)。生成命令并将这些命令打包成报文。 ·执行器(例如用于照明的接触器和送风管道中的...
阅读更多 -
PID对比例控制作用的理解
PLC技术
PID 的控制原理可以用人对炉温的手动控制来理解。假设用热电偶检测炉温,用数字式仪表显示温度值。 在人工控制过程中,操作人员用眼睛读取炉温,并与炉温的给定值比较,得到温...
阅读更多 -
KNX/EIB系统的网络结构
PLC技术
KNX/EIB 将网络分为区域、线路以及每条线路上的节点。一个网络最多包含 15 个区域、 14000 个节点。线路的最大总长度为 1000m 。 耦合器可以用作线路放大器、线路耦合器和区域耦合器。...
阅读更多 -
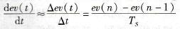
PID对积分控制作用的理解
PLC技术
(1) 积分的几何意义与近似计算 设执行 PID 控制程序的时间间隔(即 PID 控制的采样周期)为 Ts ,第 n 次 PID 运算时的时间为 Ts n ,因为 PID 程序运行时 Ts 为常数,可以将 t=Tsn 时 PID 控制...
阅读更多 -
PID控制器对微分控制作用的理解
PLC技术
(1) 微分的几何意义与近似计算 在误差曲线 ev(t) 上作一条切线(见图 10-11 ),该切线与 x 轴正方向的夹角α的正切值 tg α即为该点处误差的微分 dev(t)/dt 。 PID 控制器输出表达式 (10-1) 中...
阅读更多 -
只需一个站编程的S7基本通信
PLC技术
除了上述使用 SFC 65 “ X_SEND ”和 SFC 66 “ X_RCV ”的双向通信之外,还可以实现单向通信。编写程序的一方的 CPU 作客户机,另一方作服务器,后者不需要编写程序。客户机是通信的主动...
阅读更多 -
AS-i网络的从站模块
PLC技术
AS-i 从站模块最多可以连接 4 个传感器和 4 个执行器。带有集成的 AS-i 接口的传感器和执行器可以直接连接到 AS-i 网络上。 AS-i 从站模块的接线采用绝缘穿刺技术, AS-i 电缆夹在安装板...
阅读更多
点击排行
PLC编程的基本规则
