您现在的位置是:首页 > 变频技术 > 变频技术
三相电流通入定子绕组后的结果怎样?
来源:艾特贸易2017-06-04
简介把相位上互差 2 /3 (120 ) 电角度的三相交变电流分别通入定子的三相绕组中。即 A 相电流 iA 通入 A 相绕组, B 相电流 iB 通入 B 相绕组, C 相电流 ic 通入 C 相绕组,如图 0-2 (a) 所示。 图
把相位上互差2π/3 (120°)电角度的三相交变电流分别通入定子的三相绕组中。即A相电流iA通入A相绕组,B相电流iB通入B相绕组,C相电流ic通入C相绕组,如图0-2 (a)所示。
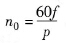
图0-2 三相电流的合成磁场 (a)三相电流的磁场;(b)旋转磁场 各绕组通入电流后都要产生磁场,其特点如下: 当A相电流iA达到振幅值时,合成磁场的轴线和A相磁场ΦA相一致;当B相电流iB达到振幅值时,合成磁场的轴线和B相磁场ΦB相一致,合成磁场的轴线顺时针旋转了2π/3 (120°)电角度;当C相电流ic达到振幅值时,合成磁场的轴线和C相磁场Φc相一致,合成磁场的轴线又顺时针旋转了2π/3 (120°)电角度。 可见,在三相交变电流不断地交变的过程中,它们的合成磁场将是一个在空间旋转的磁场,称为旋转磁场,如图0-2 (b)所示。 旋转磁场的转速称为同步转速,由下式计算
(0-1)式中n0-同步转速( r/min); f-电流的频率(Hz); p-磁极对数。 由式(0-1)知,在额定频率下,同步转速与磁极对数的关系见表0-1。 表0-1 同步转速与磁极对数的关系
