您现在的位置是:首页 > 变频技术 > 变频技术
异步电动机转子的等效电路是怎样的?
来源:艾特贸易2017-06-04
简介答笼型异步电动机的转子绕组是由 n 根鼠笼条构成的,如图 0-7(a) 所示。每一根鼠笼条为一相,故转子电路是 n 相电路,如图 0-7(b) 所示。这样的电路,是难以和定子电路进行比较和联系
答笼型异步电动机的转子绕组是由n根“鼠笼条”构成的,如图0-7(a)所示。每一根“鼠笼条”为“一相”,故转子电路是n相电路,如图0-7(b)所示。这样的电路,是难以和定子电路进行比较和联系的。为了得到能够和定子电路进行比较和联系的等效电路,需要进行两个变换:
图0-7 转子电路的等效变换 (a)笼型转子;(b)转子的电路;(c)等效三相电路; (d)静止三相电路;(e)电动机外形;(f)一相等效电路 1.相数变换 为了使转子电路能和定子电路间建立联系,用一个等效的三相绕组去代替n相绕组,如图0-7 (c)所示。在这里,等效的条件是: (1)等效三相绕组的功率,必须和原来的n相绕组的总功率相等。 (2)等效绕组的每相匝数与定子绕组相同。 2.动静变换 因为转子是旋转的,它在轴上输出的是电磁转矩TM和转速nM,输出功率为机械功率
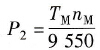
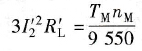
(0-9)式中P2-电动机的输出功率(kW); TM-电动机的电磁转矩(N·m); nM-电动机轴上的转速( r/min)。 所谓“动一静变换”,就是把旋转的、输出机械能的转子等效地变换成静止的“转子电路”。其具体方法是:因为机械功率P2是有功功率,所以,在电路里串入一个等效的有功元件RL,如图0-7 (d)所示。等效电阻的条件是:在RL上所消耗的有功功率应该和电动机输出的机械功率相等(因为是等效电路,所以电路中各参数都缀以“′”),即
(0-10)式中I′2—等效电路中,转子的相电流(A); R′L-机械负载的等效电阻(Ω)。 3.一相等效电路 和定子相仿,因为三相电路是对称的,所以,在分析时可以只拿一相来进行观察。转子的一相等效电路如图0-7 (f)所示。图中E′2-转子每相等效绕组的感应电动势(V); r′2-转子每相等效绕组的电阻(Ω); X′2-转子每相等效绕组的漏磁电抗(Ω); R′L-机械负载在转子每相等效绕组中的等效电阻(Ω); E′2-转子每相等效绕组中的电流(A); U′2-转子每相等效绕组中,机械负载等效电阻两端的电压,相当于转 子绕组的输出电压(V)。
